М
Молодежь
К
Компьютеры-и-электроника
Д
Дом-и-сад
С
Стиль-и-уход-за-собой
П
Праздники-и-традиции
Т
Транспорт
П
Путешествия
С
Семейная-жизнь
Ф
Философия-и-религия
Б
Без категории
М
Мир-работы
Х
Хобби-и-рукоделие
И
Искусство-и-развлечения
В
Взаимоотношения
З
Здоровье
К
Кулинария-и-гостеприимство
Ф
Финансы-и-бизнес
П
Питомцы-и-животные
О
Образование
О
Образование-и-коммуникации
polikarpova05
polikarpova05
17.09.2022 20:27 •  Математика

Выполните действия: а) 2 1/10 : 1 2/5 б)4 1/2 : 5 1/4 в)4 3/4 : 1/4 - 2 3/14 * 7

👇
Ответ:
Modoki
Modoki
17.09.2022

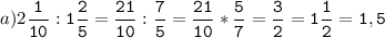
a)2\tt\displaystyle\frac{1}{10}:1\frac{2}{5}=\frac{21}{10}:\frac{7}{5}=\frac{21}{10}*\frac{5}{7}=\frac{3}{2}=1 \frac{1}{2}=1,5

b)4\tt\displaystyle\frac{1}{2}:5\frac{1}{4}=\frac{9}{2}:\frac{21}{4}=\frac{9}{2}*\frac{4}{21}=\frac{6}{7}

c)4\tt\displaystyle\frac{3}{4}:\frac{1}{4}-2\frac{3}{14}*7=\frac{19}{4}:\frac{1}{4}-\frac{31}{14}*7=\frac{19}{4}*4-\frac{31}{2}=19-15\frac{1}{2}=19-15,5=3,5

4,5(67 оценок)
Открыть все ответы
Ответ:
максим1691
максим1691
17.09.2022
Выпишем трехзначные числа, сумма которых равна 7:
106=1+0+6=7
124=1+2+4=7
142=1+4+2=7
160=1+6+0=7
214=2+1+4=7
232=2+3+2=7
250=2+5+0=7
304=3+0+4=7
322=3+2+2=7
340=3+4+0=7
412=4+1+2=7
430=4+3+0=7
502=5+0+2=7
520=5+2+0=7
610=6+1+0=7
700=7+0+0=7
Выберем числа с разными цифрами: 106, 124, 142, 160, 214,250,304, 340,412, 430, 502,520,610.
(Не подходят: 232 (две двойки), 322 (две двойки), 700 (два нуля)).
Всего 13 чисел.
ответ: существует 13 чётных трёхзначных чисел, сумма цифр которых равна 7, и у которых все цифры разные.
4,5(15 оценок)
Ответ:
v1tek2692
v1tek2692
17.09.2022
Выпишем трехзначные числа, сумма которых равна 7:
106=1+0+6=7
124=1+2+4=7
142=1+4+2=7
160=1+6+0=7
214=2+1+4=7
232=2+3+2=7
250=2+5+0=7
304=3+0+4=7
322=3+2+2=7
340=3+4+0=7
412=4+1+2=7
430=4+3+0=7
502=5+0+2=7
520=5+2+0=7
610=6+1+0=7
700=7+0+0=7
Выберем числа с разными цифрами: 106, 124, 142, 160, 214,250,304, 340,412, 430, 502,520,610.
(Не подходят: 232 (две двойки), 322 (две двойки), 700 (два нуля)).
Всего 13 чисел.
ответ: существует 13 чётных трёхзначных чисел, сумма цифр которых равна 7, и у которых все цифры разные.
4,4(14 оценок)
Это интересно:
Новые ответы от MOGZ: Математика
logo
Вход Регистрация
Что ты хочешь узнать?
Спроси Mozg
Открыть лучший ответ