М
Молодежь
К
Компьютеры-и-электроника
Д
Дом-и-сад
С
Стиль-и-уход-за-собой
П
Праздники-и-традиции
Т
Транспорт
П
Путешествия
С
Семейная-жизнь
Ф
Философия-и-религия
Б
Без категории
М
Мир-работы
Х
Хобби-и-рукоделие
И
Искусство-и-развлечения
В
Взаимоотношения
З
Здоровье
К
Кулинария-и-гостеприимство
Ф
Финансы-и-бизнес
П
Питомцы-и-животные
О
Образование
О
Образование-и-коммуникации
EgoSik1
EgoSik1
30.12.2020 12:49 •  Математика

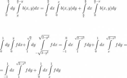
Синтегралами. нужно поменять порядок интегрирования

👇
Ответ:
380931817787
380931817787
30.12.2020

Решение в приложении


Синтегралами. нужно поменять порядок интегрирования
4,6(47 оценок)
Открыть все ответы
Ответ:
artem876
artem876
30.12.2020
Решение
C={треугольник, m, 5}
C={треугольник, 5, m}
C={ 5, m, треугольник}
C={ 5, треугольник, m}
C={ m, треугольник, 5).

Данные множества равные множеству
C={ m, 5 треугольник}.
Пояснения.
Два множества A и B называются равными, если они состоят из одних и тех же элементов, т. е. если каждый элемент множества A принадлежит B и, обратно, каждый элемент B принадлежит A.
Например, множество из трех элементов a, b, c допускает шесть видов записи:

{a, b, c} = {a, c, b} = {b, a, c} = {b, c, a} = {c, a, b} = {c, b, a}.
4,7(76 оценок)
Ответ:
bolotovaanna7
bolotovaanna7
30.12.2020

ответ: a ∈ (-∞; 0)∪{81}

Пошаговое объяснение: ОДЗ: x ≥ 0

С учетом ОДЗ уравнение всегда имеет как минимум один корень - решение уравнения √x - 9 = 0 ⇔ √х = 9 ⇒ x = 81.

Однако при некоторых значениях а уравнение может иметь и другой корень - решение уравнения х - а = 0 ⇒ х = а. Это возможно в том случае, если этот корень удовлетворяет ОДЗ, т.е. есть х ≥ 0 ⇒ a ≥ 0. Но может случиться так, что корни совпадут (и в первой скобке, и во второй корнем будет х = 81), и в итоге у нас все так же будет одно решение.

Поэтому уравнение может иметь единственное решение только в двух случаях:

1) уравнения х - а = 0 и √x - 9 = 0 имеют одинаковое решение - х = 81. Этому случаю соответствует значение а = 81.

2) если уравнение х - а = 0 имеет решения, которые не удовлетворяют ОДЗ, т.е. такие, при которых x выходит < 0 (в этом случае уравнение не будет иметь смысла из за того, что под корнем будет отрицательное число). Этому случаю соответсвуют все значения а < 0.

Итого: a ∈ (-∞; 0)∪{81}.

4,6(69 оценок)
Это интересно:
Новые ответы от MOGZ: Математика
logo
Вход Регистрация
Что ты хочешь узнать?
Спроси Mozg
Открыть лучший ответ