М
Молодежь
К
Компьютеры-и-электроника
Д
Дом-и-сад
С
Стиль-и-уход-за-собой
П
Праздники-и-традиции
Т
Транспорт
П
Путешествия
С
Семейная-жизнь
Ф
Философия-и-религия
Б
Без категории
М
Мир-работы
Х
Хобби-и-рукоделие
И
Искусство-и-развлечения
В
Взаимоотношения
З
Здоровье
К
Кулинария-и-гостеприимство
Ф
Финансы-и-бизнес
П
Питомцы-и-животные
О
Образование
О
Образование-и-коммуникации
blablabla43
blablabla43
17.08.2021 17:47 •  Математика

Маленькая коробка вмещает 8 карандашей, большая - 12 карандашей. в девяти больших и маленьких коробках лежало 88 карандашей. сколько было в тех и других коробках?

👇
Ответ:
lebedkova81
lebedkova81
17.08.2021

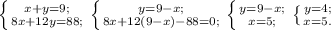
ПУСТЬ Х - КОЛИЧЕСТВО МАЛЫХ КОРОБОК

Y - КОЛИЧЕСТВО БОЛЬШИХ

ТОГДА ПОЛУЧАЕТСЯ СИСТЕМА

\left \{ {{x+y=9;} \atop {8x+12y=88;}} \right. \left \{ {{y=9-x;} \atop {8x+12(9-x)-88=0;}} \right. \left \{ {{y=9-x;} \atop {x=5;}} \right. \left \{ {{y=4;} \atop {x=5.}} \right


4,5(91 оценок)
Ответ:
Kerisha4
Kerisha4
17.08.2021
Маленьких 11.88:8=11больших 88:12=7,3 ничего не пойму сама
4,6(12 оценок)
Открыть все ответы
Ответ:
dashadasha22399
dashadasha22399
17.08.2021

60 градусов (ответ А)

Пошаговое объяснение:

Полный угол - 360 градусов.

Здесь у нас 6 частей - 1 часть приходится на угол 1, одна часть - на угол - 3. Так как угол 2 больше угла 3 в два раза, то на угол 2 приходится 2 части. Так как угол 4 равен углу 2, то на угол 4 приходится тоже 2 части.

2+2+1+1 = 6 частей всего.

Теперь 360:6 = 60 градусов приходится на 1 часть. Так как в угле 1 содержится 1 часть, то угол 1 равен 60 градусам.

Угол 4, в котором содержится 2 части, равен 60*2 = 120 градусов.

Нужно узнать разность угла 4 и угла 1.

Вычитаем 60 из 120.             120-60 = 60 градусов - разность угла 4 и угла 1.

ответ: А

4,8(12 оценок)
Ответ:
ikotelevskaya78
ikotelevskaya78
17.08.2021

1. Натуральной n-й степенью действительного числа a называется действительное число b, получаемое в результате умножения числа a самого на себя n раз.

2. Самый удобный вариант отметить на координатном луче дроби — взять единичный отрезок из стольких клеточек, каков знаменатель дробей. Например, если требуется изобразить на координатном луче дроби со знаменателем 5, единичный отрезок лучше взять длиной в 5 клеточек

3. Числовая последовательность — это последовательность чисел. Числовые последовательности являются одним из основных объектов рассмотрения в математическом анализе.

Пошаговое объяснение:

4,4(61 оценок)
Это интересно:
logo
Вход Регистрация
Что ты хочешь узнать?
Спроси Mozg
Открыть лучший ответ