М
Молодежь
К
Компьютеры-и-электроника
Д
Дом-и-сад
С
Стиль-и-уход-за-собой
П
Праздники-и-традиции
Т
Транспорт
П
Путешествия
С
Семейная-жизнь
Ф
Философия-и-религия
Б
Без категории
М
Мир-работы
Х
Хобби-и-рукоделие
И
Искусство-и-развлечения
В
Взаимоотношения
З
Здоровье
К
Кулинария-и-гостеприимство
Ф
Финансы-и-бизнес
П
Питомцы-и-животные
О
Образование
О
Образование-и-коммуникации
Anazrk
Anazrk
15.10.2022 21:43 •  Математика

Dx вычислите интеграл ! но не так уж

👇
Ответ:
viparistocrate
viparistocrate
15.10.2022

Пошаговое объяснение:

вот


Dx вычислите интеграл ! но не так уж
4,8(18 оценок)
Ответ:
stenolaz19
stenolaz19
15.10.2022

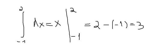
Этот интеграл равен х, а от -1 до 2 по формуле Ньютона - Лейбница 2-(-1)=3

ответ 3

4,8(53 оценок)
Открыть все ответы
Ответ:
AsiyaEkb
AsiyaEkb
15.10.2022

266

Пошаговое объяснение:

Сначала посчитаем, сколько чисел делится только на 2, 3, 5:

2: 1000 / 2 = 500 (множество A);

3: [1000 / 3] = 333 (B);

5: 1000 / 5 = 200 (C);

Теперь найдем пересечения этих множеств:

A ∩ B (те числа, которые делятся и на 2 и на 3, то есть на 6) = 1000 / 6 = 166;

A ∩ C (на 2 и на 5, то есть на 10) = [1000 / 10] = 100;

B ∩ C (на 3 и на 5, то есть на 15) = [1000 / 15] = 66;

A ∩ B ∩ C = (и на 2, и на 3, и на 5, то есть на 30) = [1000 / 30] = 33;

Теперь, по формуле включений-исключений найдем:

A ∪ B ∪ C = | A | + | B | + | C | - | A ∩ B | - | B ∩ C | - | A ∩ C | + | A ∩ B ∩ C | = 500 + 333 + 200 - 166 - 100 - 66 + 33 = 734 (те числа, которые делятся либо на 2, либо на 3, либо на 5)

Теперь найдем те, которые ни на одного не делятся:

1000 - 734 = 266

4,5(64 оценок)
Ответ:
Jason19
Jason19
15.10.2022
1) всего 6000 л
    молока 3600л
    3600/3=1200 (л) кефира
    6000-3600-1200=1200 (л) ряженка
ответ: 1200 литров ряженки изготовили на молочном заводе
 2) (18048+53976):8 =9003
       18048
     +53976
       
       72024

              72024    / 8
              72           9003
                             
                    24
                    24
                    ---
                     0

(600084-597623)*7=17227
   600084
  -597623
   
      2461  

      2461
  *         7
   
    17227

3)    3т10кг меньше 3т1ц
         45000м больше 40км500м 
       2сут.20ч равно 68ч

4)     Sпр.=f*b= 4*5=20 см2


5)     400-х=275+25
        400-х=300
        х=400-300
        х=100
        400-100=275+25

        3*х=87-6
        3х=81
        х=81/3
        х=27

        3*27=87-6

6) 23 человека в классе
4,5(83 оценок)
Это интересно:
Новые ответы от MOGZ: Математика
logo
Вход Регистрация
Что ты хочешь узнать?
Спроси Mozg
Открыть лучший ответ