

1) 1 стоянка-143
2 стоянка- на 17 меньше первой..
1)143-17=126(атом)-на второй стоянке..
2)143+126=269(автом)-вместе и на 1 и на 2..
ответ: 269 автомобилей..
1) (325 + 791) + 675= (675+791)+ 325=1791
2) 428 + 856 + 572 + 244=(856+244)+(572+428)= 2100
736+328=1064, а 1674-1064=610,меньше чем,
835-459=1376, а 2000-1376=624 а значит решение не возможно..
4*8-16=16, а значит а=16
x+600,если
х=278,
то 600+278= ну а там же и=878
4 м 73 см + 3 м 47 см=8 м 20 см
12 ч 16 мин – 7 ч 32 мин=4 ч 74м=5 ч 14 м
(713-413)+529=300+529=829
(624-224)-137=400-137=263
всё легко =)
1) 1 стоянка-143
2 стоянка- на 17 меньше первой..
1)143-17=126(атом)-на второй стоянке..
2)143+126=269(автом)-вместе и на 1 и на 2..
ответ: 269 автомобилей..
1) (325 + 791) + 675= (675+791)+ 325=1791
2) 428 + 856 + 572 + 244=(856+244)+(572+428)= 2100
736+328=1064, а 1674-1064=610,меньше чем,
835-459=1376, а 2000-1376=624 а значит решение не возможно..
4*8-16=16, а значит а=16
x+600,если
х=278,
то 600+278= ну а там же и=878
4 м 73 см + 3 м 47 см=8 м 20 см
12 ч 16 мин – 7 ч 32 мин=4 ч 74м=5 ч 14 м
(713-413)+529=300+529=829
(624-224)-137=400-137=263
всё легко =)
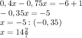
0,4х-1=0,75х-6
0,4х-0,75х=-6+1
0,35х=5
Х=100/7
Х=14_2/7