М
Молодежь
К
Компьютеры-и-электроника
Д
Дом-и-сад
С
Стиль-и-уход-за-собой
П
Праздники-и-традиции
Т
Транспорт
П
Путешествия
С
Семейная-жизнь
Ф
Философия-и-религия
Б
Без категории
М
Мир-работы
Х
Хобби-и-рукоделие
И
Искусство-и-развлечения
В
Взаимоотношения
З
Здоровье
К
Кулинария-и-гостеприимство
Ф
Финансы-и-бизнес
П
Питомцы-и-животные
О
Образование
О
Образование-и-коммуникации
sonia81
sonia81
15.08.2021 08:46 •  Математика

Найти площадь криволинейной трапеции y=ctgx, x=pi/4, x=2pi/3, ox

👇
Ответ:
dianahaliullina1
dianahaliullina1
15.08.2021

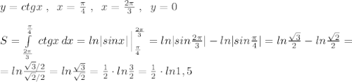
y=ctgx\; ,\; \; x=\frac{\pi}{4}\; ,\; \; x=\frac{2\pi }{3}\; ,\; \; y=0\\\\S=\int\limits^{\frac{\pi}{4} }_{\frac{2\pi }{3}}\, ctgx\, dx=ln|sinx|\, \Big |_{\frac{\pi}{4} }^{\frac{2\pi}{3} }=ln|sin\frac{2\pi }{3}|-ln|sin\frac{\pi}{4}|=ln\frac{\sqrt3}{2}-ln\frac{\sqrt2}{2}=\\\\=ln\frac{\sqrt3/2}{\sqrt2/2}=ln\frac{\sqrt3}{\sqrt2}=\frac{1}{2}\cdot ln\frac{3}{2}=\frac{1}{2}\cdot ln1,5


Найти площадь криволинейной трапеции y=ctgx, x=pi/4, x=2pi/3, ox
4,6(23 оценок)
Ответ:
yellowmellow
yellowmellow
15.08.2021

Пошаговое объяснение:

вот


Найти площадь криволинейной трапеции y=ctgx, x=pi/4, x=2pi/3, ox
4,7(43 оценок)
Открыть все ответы
Ответ:
Klaro555
Klaro555
15.08.2021
Если мы не будем ставить, ну, например, те же запятые, то мы не сможем понять то, что нам пишут, или же вы пишете письмо, получатель не поймёт вас.
 Я помню сказку "В стране невыученных уроков". Там Вите Перестукину пришлось пройти много трудностей. Одна из них- задача профессора. Он написал на доске "казнить нельзя помиловать".Если бы Витя поставил запятую после слова "казнить", то его ба казнили. Но он вовремя понял и поставил запятую после слова "нельзя",Ю и получилось "казнить нельзя, помиловать". Так мальчик свою жизнь.
 Так, что, все знаки препинания очень важны.
4,8(30 оценок)
Ответ:
aidored
aidored
15.08.2021
Если мы не будем ставить, ну, например, те же запятые, то мы не сможем понять то, что нам пишут, или же вы пишете письмо, получатель не поймёт вас.
 Я помню сказку "В стране невыученных уроков". Там Вите Перестукину пришлось пройти много трудностей. Одна из них- задача профессора. Он написал на доске "казнить нельзя помиловать".Если бы Витя поставил запятую после слова "казнить", то его ба казнили. Но он вовремя понял и поставил запятую после слова "нельзя",Ю и получилось "казнить нельзя, помиловать". Так мальчик свою жизнь.
 Так, что, все знаки препинания очень важны.
4,7(16 оценок)
Это интересно:
Новые ответы от MOGZ: Математика
logo
Вход Регистрация
Что ты хочешь узнать?
Спроси Mozg
Открыть лучший ответ