Подлогарифмическое выражение должно быть строго положительным.

45 страниц
Пошаговое объяснение:
Пусть Салминаз в первый день прочитала X страниц.
Во второй день: (X+5) страниц.
В третий день: X+5+5 = (X+10) страниц.
Предположим, что Салминаз прочитала ВСЮ книгу.
Составим уравнение:
X + (X + 5) + (X + 10) = 124
3X + 15 = 124
3X = 109
X = 109/3 = 36+1/3 страницы.
Будем считать, что число страниц целое.
Если X = 36, то
36 + (36+5) + (36+10) = 36 +41 + 46 = 123 страницы.
124 - 123 = 1 (Одна страница осталась непрочитанной...)
Читаем по 37 страниц.
37+(37+5)+(37+10) = 37 + 42 + 47 = 126 страниц.
Но в книге на 2 страницы меньше.
Значит, в последний день прочитано
47-2 = 45 страниц
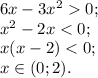
6x-3x²>0
2x-x²>0
x(2-x)>0
x∈(0;2)
D(y)=(0;2)