М
Молодежь
К
Компьютеры-и-электроника
Д
Дом-и-сад
С
Стиль-и-уход-за-собой
П
Праздники-и-традиции
Т
Транспорт
П
Путешествия
С
Семейная-жизнь
Ф
Философия-и-религия
Б
Без категории
М
Мир-работы
Х
Хобби-и-рукоделие
И
Искусство-и-развлечения
В
Взаимоотношения
З
Здоровье
К
Кулинария-и-гостеприимство
Ф
Финансы-и-бизнес
П
Питомцы-и-животные
О
Образование
О
Образование-и-коммуникации
Aidana130234
Aidana130234
30.01.2023 07:23 •  Математика

Решите мне заранее вдоль двух улиц посадили деревья для озеленения. количество деревьев на первой улице в 1,4 раза больше чем количество деревьев на второй. когда с первой улицы пересадили 13 деревьев на вторую то количество деревьев на обеих улицах стало поровну. сколько деревьев было посажено на каждой улице первоначально? решите с уравнения напишите с условием!

👇
Ответ:
Ээн
Ээн
30.01.2023
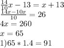
\frac{14}{10} x-13=x+13 \\ \frac{14x-10x}{10}=26 \\ 4x=260 \\ x=65 \\ 1) 65*1.4=91
Тут все просто.
ПУсть на второй стороне х деревьев, тогда на первой 14/10, затем мы с одной стороны пересаживаем 13 деревьев и сажаем их на другую сторону, составим уравнение 1,4х-13=х+13
4,8(5 оценок)
Открыть все ответы
Ответ:
Зоромдед
Зоромдед
30.01.2023

15 (км/час) - скорость первого лыжника.

9 (км/час) - скорость второго лыжника.

Пошаговое объяснение:

Два лыжники, находясь друг от друга на расстоянии 6 км, вышли

одновременно навстречу друг другу и через 15 мин встретились. Когда же они  вышли из одного пункта в одном направлении, то через 50 мин один отстал  от другого на 5 км. Какая скорость каждого лыжника?

Формула движения: S=v*t

S - расстояние            v - скорость             t – время

1)Рассмотрим первый случай.

Известно общее расстояние, 6 км.

Известно общее время движения, 15 минут=0,25 часа.

Можно найти общую скорость лыжников:

6 : 0,25 = 24 (км/час).

2)Известно, что второй лыжник отстал от первого на 5 км за 50 минут.

Можно вычислить отставание за час, то есть, разницу в скоростях.

50 (минут) = 50/60 (часа) = 5/6 (часа).

5 (км) : 5/6 = (5*6)/5= 6 (км/час).

Скорость второго лыжника меньше скорости первого на 6 км/час.

Обозначение:

х - скорость первого лыжника.

х-6 - скорость второго лыжника.

Общая скорость (вычислили раньше) равна 24 км/час, уравнение:

х + (х - 6) = 24

2х-6=24

2х=24+6

2х=30

х=15 (км/час) - скорость первого лыжника.

15-6=9 (км/час) - скорость второго лыжника.

Проверка:

Лыжники были в пути (второй случай) 50 минут, 5/6 часа.

15 * 5/6=75/6 =12,5 (км) - расстояние первого лыжника.

9 * 5/6 = 45/6 =7,5 (км) - расстояние второго лыжника.

Отстал на 5 км, верно.

4,8(41 оценок)
Ответ:
Nizam123
Nizam123
30.01.2023

Пошаговое объяснение:

я не нахожу достаточно данных, чтобы дать какой-либо числовой ответ(((.

Только вот такой:

вспомнив формулу объема конуса запишем объем V₁ с уровнем (высотой) h₁=4 (см. рисунок):

V₁=1/3πR₁²h₁;

V₁=4πR₁²/3;

доливаем в бокал объем V₂, 1/4 от уже налитого:

V₂=V₁/4; V₂=πR₁²/3;

всего объем воды, налитой в бокал:

V₁+V₂=4πR₁²/3+πR₁²/3=5πR₁²/3;           (1)

с другой стороны этот объем равен (см. рисунок)

V₁+V₂=πR₂²h₂/3;                                    (2)

приравняем (1) и (2)

5πR₁²/3=πR₂²h₂/3; 5R₁²=R₂²h₂;

выразим высоту (уровень) h₂:

h₂=5R₁²/R₂²


Бокал имеет форму конуса. в него налита вода на высоту равную 4. если в бокал долить воды объемом ра
4,8(86 оценок)
Это интересно:
Новые ответы от MOGZ: Математика
logo
Вход Регистрация
Что ты хочешь узнать?
Спроси Mozg
Открыть лучший ответ