М
Молодежь
К
Компьютеры-и-электроника
Д
Дом-и-сад
С
Стиль-и-уход-за-собой
П
Праздники-и-традиции
Т
Транспорт
П
Путешествия
С
Семейная-жизнь
Ф
Философия-и-религия
Б
Без категории
М
Мир-работы
Х
Хобби-и-рукоделие
И
Искусство-и-развлечения
В
Взаимоотношения
З
Здоровье
К
Кулинария-и-гостеприимство
Ф
Финансы-и-бизнес
П
Питомцы-и-животные
О
Образование
О
Образование-и-коммуникации
Dasulya21
Dasulya21
28.03.2023 14:41 •  Математика

Из числа учащихся кружка домбристов лишь 3_5 умеют играть на домбре .через неделю еще 6 участников научились играть на этом инструменте. после этого количество не умеющих играть на домбре составило 10 процентов всех участников кружка. сколько человек посещают кружок домбристов.

👇
Ответ:
Pelageya2091
Pelageya2091
28.03.2023
100%-10%=90% - играют на домбре
3/5х+6=0,9х
3/5х-0,9х=-6
3/5х-9/10х= -6
6/10х-9/10х= -6
-3/10х= -6
х=6:3/10
х=6*10/3
х=20 уч. - играют на домбре.
4,5(43 оценок)
Ответ:
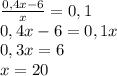
Всего x человек. Изначально умели играть на домбре \frac35x=0,6x учащихся. Через неделю умеющих играть стало 0,6x+6. Число не умеющих играть стало x-\left(0,6x+6\right)=x-0,6x-6=0,4x-6, что составляет 10% или 0,1 от общего числа всех участников, то есть
\frac{0,4x-6}{x}=0,1\\0,4x-6=0,1x\\0,3x=6\\x=20
Всего кружок посещают 20 человек.
4,6(66 оценок)
Открыть все ответы
Ответ:
barashinaa88
barashinaa88
28.03.2023
Пусть х - количество деталей. которое за час изготавливает второй рабочий.
Тогда х+4 - количество за час изготавливает первый рабочий.
Уравнение:
5(х+4) = 7х
5х + 20 = 7х
7х - 5х = 20
2х = 10
х = 10:2
х = 10 деталей в час изготавливал второй рабочий.


Примем за 1 количество деталей, которое за 5 часов заготавливает первый рабочий, или за 7 часов изготавливает за 7 часов
1) 1:5=1/5 - производительность первого рабочего.
2) 1:7=1/7 - производительность второго рабочего.
3) 1/5 - 1/7 = 7/35 - 5/35 = 2/35 разница в производительности второго и первого рабочих.
4) Пропорция:
2/35 - 4 детали.
1/7 - х
х = 4•1/7 : 2/35 = 4•1•35/(7•2) = 2•5 = 10 деталей за час делал второй рабочий.

ответ: 10 деталей.
4,8(77 оценок)
Ответ:
uliana2007zvez
uliana2007zvez
28.03.2023
Пусть х - количество деталей. которое за час изготавливает второй рабочий.
Тогда х+4 - количество за час изготавливает первый рабочий.
Уравнение:
5(х+4) = 7х
5х + 20 = 7х
7х - 5х = 20
2х = 10
х = 10:2
х = 10 деталей в час изготавливал второй рабочий.


Примем за 1 количество деталей, которое за 5 часов заготавливает первый рабочий, или за 7 часов изготавливает за 7 часов
1) 1:5=1/5 - производительность первого рабочего.
2) 1:7=1/7 - производительность второго рабочего.
3) 1/5 - 1/7 = 7/35 - 5/35 = 2/35 разница в производительности второго и первого рабочих.
4) Пропорция:
2/35 - 4 детали.
1/7 - х
х = 4•1/7 : 2/35 = 4•1•35/(7•2) = 2•5 = 10 деталей за час делал второй рабочий.

ответ: 10 деталей.
4,6(54 оценок)
Это интересно:
Новые ответы от MOGZ: Математика
logo
Вход Регистрация
Что ты хочешь узнать?
Спроси Mozg
Открыть лучший ответ