М
Молодежь
К
Компьютеры-и-электроника
Д
Дом-и-сад
С
Стиль-и-уход-за-собой
П
Праздники-и-традиции
Т
Транспорт
П
Путешествия
С
Семейная-жизнь
Ф
Философия-и-религия
Б
Без категории
М
Мир-работы
Х
Хобби-и-рукоделие
И
Искусство-и-развлечения
В
Взаимоотношения
З
Здоровье
К
Кулинария-и-гостеприимство
Ф
Финансы-и-бизнес
П
Питомцы-и-животные
О
Образование
О
Образование-и-коммуникации
Alinazonova
Alinazonova
23.10.2021 22:50 •  Математика

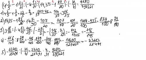
Вычислите (4целых3/5-1цел.2/7)/(-4цел.1/7)/(14,35-1цел.87/20)/(-31/4)

👇
Ответ:
lenaprivet
lenaprivet
23.10.2021
Решение и ответ прикреплены
Вычислите (4целых3/5-1цел.2/7)/(-4цел.1/7)/(14,35-1цел.87/20)/(-31/4)
4,7(68 оценок)
Открыть все ответы
Ответ:
3) Благодаря чему и кому Раскольников раскаялся?
   Что же заставило главного героя признаться в содеянном? Душевное состояние Раскольникова после убийства стало хуже прежнего. Он впадает в бредовое состояние, теряет ощущение времени, теряет аппетит и много спит. Его поведение сложно назвать адекватным. Странная реакция об услышанном убийстве от других уст тому доказательство. Также совесть мучала его каждый день всё больше и больше, ставя перед выбором, признаться или нет. Соня Мармеладова стала первой, кому рассказал о содеянном главный герой. Она понимала его и попросила раскаяться в совершенном преступлении. Душевные терзания и Соня Мармеладова - это причины, по которым Раскольников признался.
4,5(24 оценок)
Ответ:
здрасти2003
здрасти2003
23.10.2021

Пошаговое объяснение:

Квадрат начертить думаю несложно. У квадрата все углы между сторонами прямые. Диагонали являются биссектрисами углов между сторонами, значит диагональ составляет со стороной квадрата угол 45 градусов (половина от прямого угла). Зная это, посмотрим на любой треугольник, образованный диагоналями. В нем нам известно, что два угла равны 45 градусам (углы между диагональю и стороной). Сумма углов треугольника 180 градусов, значит искомый угол между диагоналями, который находится в этом треугольнике, равен 90 градусам

4,5(95 оценок)
Новые ответы от MOGZ: Математика
logo
Вход Регистрация
Что ты хочешь узнать?
Спроси Mozg
Открыть лучший ответ