М
Молодежь
К
Компьютеры-и-электроника
Д
Дом-и-сад
С
Стиль-и-уход-за-собой
П
Праздники-и-традиции
Т
Транспорт
П
Путешествия
С
Семейная-жизнь
Ф
Философия-и-религия
Б
Без категории
М
Мир-работы
Х
Хобби-и-рукоделие
И
Искусство-и-развлечения
В
Взаимоотношения
З
Здоровье
К
Кулинария-и-гостеприимство
Ф
Финансы-и-бизнес
П
Питомцы-и-животные
О
Образование
О
Образование-и-коммуникации
диана2376
диана2376
11.04.2020 11:29 •  Математика

Найдите наименьшее значение функции у=3х²+18х+7 на промежутке [-5; -1]

👇
Ответ:
hristina112
hristina112
11.04.2020

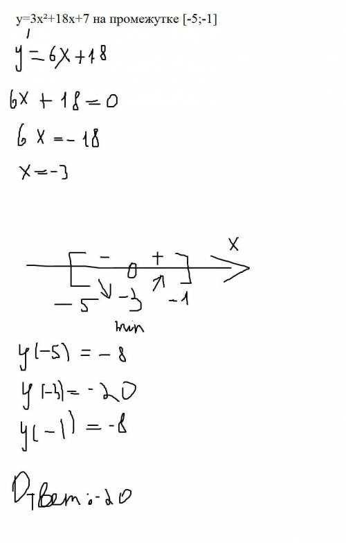
ответ: y(-3)=-20 - yнаим.

Пошаговое объяснение:

y=3x²+18x+7     [-5;-1]

y'=6x+18=6*(x+3)=0

6*(x+3)=0  |÷6

x+3=0

x=-3 ∈[-5;-3]  ⇒

y(-5)=3*(-5)²+18*(-5)+7=3*25-90+7=75-83=-8.

y(-3)=3*(-3)²+18*(-3)+7=3*9-54+7=27-47=-20=yнаим.

y(-1)=3*(-1)²+18*(-1)+7=3*1-18+7=3-11=-8.


Найдите наименьшее значение функции у=3х²+18х+7 на промежутке [-5; -1]
4,5(42 оценок)
Ответ:
kitmyfaded
kitmyfaded
11.04.2020

Пошаговое объяснение:

вот

4,6(13 оценок)
Открыть все ответы
Ответ:
Lsjsjajj
Lsjsjajj
11.04.2020
Рябина (Sorbus) - род листопадных морозостойких кустарников и деревьев. В природе рябины встречаются в лесах и гористых местностях северной и средней части северного полушария. Довольно простые в уходе, большинство рябин выглядит великолепно почти в течение всего года. Рябины можно разделить на две категории. К первой относится широколистная Р.мучнистая (S.aria) - дерево, естественно произрастающее в Европе. Название дано из-за бело-серебристого цвета нижней стороны листьев этой рябины. Вторая категория - хорошо знакомая всем рябина со сложными удлиненными листьями, каждый из которых состоит из множества заостренных узких листочков. Собственно, об этой второй категории рябин эта статья. Именно эти рябины исключительно декоративны и все шире используются в садодом дизайне. Весной они покрыты белыми, кремовыми или розовыми ароматными цветами, летом они привлекательны из-за своих блестящих кожистых ярко-зеленых листьев, которые в сентябре-октябре приобретают изумительный багряный оттенок, проходя стадии желтого и оранжевого. И, наконец, поздней осенью и зимой они украшены шикарными гроздьями блестящих ягод, цвет которых у разных видов изменяется от белого до желтого, розового, оранжевого, ярко-красного и коричневого. К числу этих рябин относятся наиболее распространенные в Европе: Р.обыкновенная (S.aucuparia) - дерево, достигающее высоты 15 м, с белыми цветами весной и оранжево-красными или желтыми ягодами осенью; Р.кашемировидная (S.cashmiriana) - небольшое дерево (до 4,5 м) с бледно-розовыми цветами весной и светло-розовыми ягодами осенью; рябина Джозеф Рок (S. Joseph Rock) с кремово-белыми цветами и желтыми ягодами, достигающая в высоту 6 м.; Р.китайская (S.vilmorinii) - невысокое деревце (до 4 м) с изогнутыми ветвями и розово-красными ягодами в сентябре, которые позже светлеют и к середине зимы становятся бело-розовыми. Рябина естественно произрастает в самых северных уголках Европы. Не удивительно, что с языческих времен рябина была частью жизни и культуры кельтских и скандинавских племен. В их поверьях рябина была наделена магической силой и ассоциировалась с защитой от сглаза и колдовства (с этой целью изготовлялись кресты из прутиков рябины, перевязывались красной ниткой и пришивались к одежде), а также покровительством во время войны. Рябину высаживали рядом с жилищем, а выкорчевать или повредить рябину на своем дворе в некоторых местах до сих пор считается плохой приметой. Если внимательно посмотреть на нижнюю сторону ягоды рябины, то можно заметить, что по форме она является равносторонней пятиконечной звездой, а это один из самых древних и важнейших языческих символов - символ защиты. Плоды рябины необычайно богаты витамином С и издавна используются в домашней кулинарии для изготовления вина, пива, джемов, варений, желе, киселей, десертов и соусов. На вкус они кисло-горькие, поэтому употреблять их рекомендуется в готовом виде с добавлением сахара. Говорят, что ягоды рябины становятся слаще на вкус после первых заморозков, но, если вы планируете их использовать - оставляя их на ветках в ожидании этих самых заморозков, вы рискуете остаться и вовсе без ягод, ведь они являются любимым лакомством птиц. Древесина рябины твердая и упругая, при этом хорошо поддается обработке. С давних времен из рябины изготавливали веретена и руны. А из ягод рябины изготавливают отличный натуральный красный краситель для ткани. Рябины могут расти на любых почвах, хотя предпочитают легкие и плодородные, с хорошим дренажем. Важно обеспечить рябинам регулярное увлажнение и мульчировку в засушливые и жаркие периоды, так как их корни расположены очень близко к поверхности почвы и им может не хватать влаги. Рябины холодоустойчивы, любят открытые, хорошо освещенные места, только некоторые из них могут мириться и с полутенью. Они легко переносят ветер, поэтому их смело можно высаживать на открытые пространства. Обрезку и формирование кроны при необходимости нужно производить зимой или ранней весной (в зависимости от климатической зоны), до того как растение тронется в рост с приходом нового сезона. Размножаются видовые рябины семенами (осенью в холодную оранжерею в нашей климатической зоне 9), а сортовые - черенками (в начале лета), а также прививками спящей почкой (летом) или черенками (зимой или осенью, в зависимости от климатической зоны). Прививки рекомендуются в более теплых климатических зонах, в качестве подвоя обычно используется Р.обыкновенная (S.aucuparia), т.к. ее более глубокая корневая система более ранимым разновидностям легче переносить жару и засуху.
4,6(14 оценок)
Ответ:

Пусть на второй полке было x книг, тогда на первой 3x книг. КОГДА с первой полки сняли 10 книг, то на ней осталось (3x-10)книг. Когда на вторую полку положили 30 книг, то на ней стало (x+30) книги. По условию задачи известно, что после этого на обеих полках книг стало поровну, т.е количество книг на первой полке (3x-10) = количеству книг на второй полке (x+30)

Составим уравнение:

3x-10=x+30

3x-x= 30+10

2x=40

X=40:2

X=20 книг на 2-ой полке

3х=20•3=60 книг на 1-ой полке

ответ:60 книг; 20 книг

Пошаговое объяснение:

4,6(32 оценок)
Новые ответы от MOGZ: Математика
logo
Вход Регистрация
Что ты хочешь узнать?
Спроси Mozg
Открыть лучший ответ