М
Молодежь
К
Компьютеры-и-электроника
Д
Дом-и-сад
С
Стиль-и-уход-за-собой
П
Праздники-и-традиции
Т
Транспорт
П
Путешествия
С
Семейная-жизнь
Ф
Философия-и-религия
Б
Без категории
М
Мир-работы
Х
Хобби-и-рукоделие
И
Искусство-и-развлечения
В
Взаимоотношения
З
Здоровье
К
Кулинария-и-гостеприимство
Ф
Финансы-и-бизнес
П
Питомцы-и-животные
О
Образование
О
Образование-и-коммуникации
znanijacom77
znanijacom77
11.09.2021 00:15 •  Математика

Из пункта а в пункт в мотоциклист ехал со скоростью 40 км в час, а обратно, из в в а, со скоростью 60 км в час. какова средняя скорость мотоциклиста на этом пути.

👇
Ответ:
kositskaya80
kositskaya80
11.09.2021
V=(2*40*60)/100 =  48 км/ч 
4,6(23 оценок)
Ответ:
ПеЧеНьКа811
ПеЧеНьКа811
11.09.2021
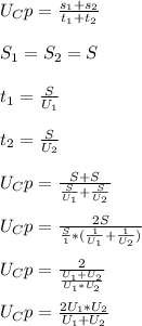
\\U_Cp=\frac{s_1+s_2}{t_1+t_2} \\
\\S_1=S_2=S\\
\\t_1 = \frac{S}{U_1}\\
\\t_2 = \frac{S}{U_2}\\
\\U_Cp = \frac{S+S}{\frac{S}{U_1}+\frac{S}{U_2}} \\
\\U_Cp = \frac{2S}{\frac{S}{1}*(\frac{1}{U_1}+\frac{1}{U_2})}\\
\\U_Cp = \frac{2}{\frac{U_1+U_2}{U_1*U_2}} \\
\\U_Cp = \frac{2U_1*U_2}{U_1+U_2}\\


\\ \frac{2*60*40}{60+40} = \frac{2*60*40}{100} = \frac{60*40}{50} = \frac{6*40}{5} = 6*8 = 48 \frac{km}{ch}\\
4,6(19 оценок)
Открыть все ответы
Ответ:
1.15*90=1350(м) 1-ая часть дороги                                                                    2.10*80=800(м)2-ая часть дороги                                                                      3.1350+800=2150(м) всего                                                                               4.15+10=25(мин)Всего времени шёл                                                                 5.2150:25=86(м в мин)                                                                                       ответ:86 м в мин скорость туриста
4,5(68 оценок)
Ответ:
Анютка45458
Анютка45458
11.09.2021
Х - пятиместных лодок  
у - трёхместных лодок 
5х - человек в пятиместных  
3у - человек в трёхместных 
Система из двух уравнений  
{х + у = 7 
{ 5х + 3у = 31  

Решение 
{х + у = 7     /обе части умножим на (- 3) 
{5х + 3у = 31 

{- 3х - 3у = - 21 
{5х + 3у = 31  
Складываем почленно эти уравнения 
-3х + 5х - 3у + 3у = 31 - 21 
2х = 10 
х = 10 : 2 
х = 5 лодок пятиместных 
Из первого уравнения х + у = 7 
имеем 
у = 7 - х 
у = 7 - 5 
у = 2  лодок трёхместных 
Проверка 
{5 + 2 = 7 
{5*5 + 3 * 2 = 31  

{7 = 7 
{31 = 31 
ответ: 5 лодок пятиместных и 2 лодки трёхместных
4,6(40 оценок)
Это интересно:
Новые ответы от MOGZ: Математика
logo
Вход Регистрация
Что ты хочешь узнать?
Спроси Mozg
Открыть лучший ответ