М
Молодежь
К
Компьютеры-и-электроника
Д
Дом-и-сад
С
Стиль-и-уход-за-собой
П
Праздники-и-традиции
Т
Транспорт
П
Путешествия
С
Семейная-жизнь
Ф
Философия-и-религия
Б
Без категории
М
Мир-работы
Х
Хобби-и-рукоделие
И
Искусство-и-развлечения
В
Взаимоотношения
З
Здоровье
К
Кулинария-и-гостеприимство
Ф
Финансы-и-бизнес
П
Питомцы-и-животные
О
Образование
О
Образование-и-коммуникации
D102006
D102006
10.12.2021 05:52 •  Математика

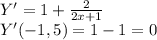
У=х+ln(2x+1) - выяснить при каких х значения производных функций обращается в ноль

👇
Ответ:
Vonder239142
Vonder239142
10.12.2021
Y'=1+ \frac{2}{2x+1}\\ Y'(-1,5)=1-1=0
4,5(68 оценок)
Открыть все ответы
Ответ:
Адувалие
Адувалие
10.12.2021
Диаметр окружности с центром в точке А-6см. Значит, радиус этой окружности равен 6:2=3(см). Вторая окружность может располагаться внутри первой окружности, но тогда расстояние между центрами окружностей будет меньше 3 см. По условию задачи, АВ=5 см. Значит, окружность с центром В находится с внешней стороны от окружеости с центром А и имеет единственную общую точку касания-D. В таком случае все три точки лежат на одной прямой, причем, D принадлежит отрезку АВ и АD=3см(радиус большей окружности), а ВD=АВ-BD=5-3=2(см) ВD-и есть радиус окружности с центром в т.В. ответ: окружность с центром в т В имеет радиус 2 см и расположена вне окружности с центром в т.А,касается ее с внешней стороны в единственной точке D.
4,5(82 оценок)
Ответ:
anna1919191
anna1919191
10.12.2021
Диаметр окружности с центром в точке А-6см. Значит, радиус этой окружности равен 6:2=3(см). Вторая окружность может располагаться внутри первой окружности, но тогда расстояние между центрами окружностей будет меньше 3 см. По условию задачи, АВ=5 см. Значит, окружность с центром В находится с внешней стороны от окружеости с центром А и имеет единственную общую точку касания-D. В таком случае все три точки лежат на одной прямой, причем, D принадлежит отрезку АВ и АD=3см(радиус большей окружности), а ВD=АВ-BD=5-3=2(см) ВD-и есть радиус окружности с центром в т.В. ответ: окружность с центром в т В имеет радиус 2 см и расположена вне окружности с центром в т.А,касается ее с внешней стороны в единственной точке D.
4,5(37 оценок)
Новые ответы от MOGZ: Математика
logo
Вход Регистрация
Что ты хочешь узнать?
Спроси Mozg
Открыть лучший ответ