М
Молодежь
К
Компьютеры-и-электроника
Д
Дом-и-сад
С
Стиль-и-уход-за-собой
П
Праздники-и-традиции
Т
Транспорт
П
Путешествия
С
Семейная-жизнь
Ф
Философия-и-религия
Б
Без категории
М
Мир-работы
Х
Хобби-и-рукоделие
И
Искусство-и-развлечения
В
Взаимоотношения
З
Здоровье
К
Кулинария-и-гостеприимство
Ф
Финансы-и-бизнес
П
Питомцы-и-животные
О
Образование
О
Образование-и-коммуникации
ЛераЛи123
ЛераЛи123
22.02.2022 12:36 •  Математика

8белок и 6 зайцев весят 33 кг.белка в 5 раз легче зайца. найти массу белки и массу зайца

👇
Ответ:
Viktoriua25868
Viktoriua25868
22.02.2022
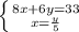
Пусть белка-х, тогда заяц-у
составляем систему
\left \{ {{8x+6y=33} \atop {x= \frac{y}{5} }} \right.
4,8(5 оценок)
Открыть все ответы
Ответ:
Svetafun46
Svetafun46
22.02.2022
 Чого можуть навчитися дорослі у дітей?
   У цій темі виникає ще питання - як це так, адже діти вчаться у батьків?! А відповідь зовсім проста, треба лише трохи подумати.
   Коли діти народжуються, батьки вчать їх усьму, що вони вміють: читати, писати, ходити тощо. Коли діти підростають, вони намагаються все повторювати за своїми батьками, повторюють їхню розмовну та жестову лексику. Але все ж таки між  дорослими є одна річь, чка розрізняє дорослих та дітей. Діти радуються всьому, що бачать по справжньому. Вони говорять те, що думають, незадумующись про наслідки, хоть і не завжди це добре. Також діти здатні роздивитись у зовсім безкорисній речі - корисну. Ось найголовніша відміна між дорослими та дітьми.
4,5(51 оценок)
Ответ:
timirkapro
timirkapro
22.02.2022
№1.
1. 50 часов
2. суббота 12 часов
№2
Вторую задачу я решила по иному, чем написано у тебя в задании
Пусть Х -деревьев посажено на 3 аллее, тогда Х-15 - посажено во 2 аллее, Х-15+20 - посажено деревьев в 1 аллее.
Х + Х-15 + Х-15+20 = 80
3Х - 30 + 20 = 80
3Х = 90
Х = 30 д (посажено в 3 аллее)
Х-15 = 15 д (посажено во 2 аллее)
Х-15+20 = 35 д (посажено в 1 аллее)
ПРОВЕРКА: 30+15+35 = 80д
А вот если решать так как задании, то получается вот так:
1. 20+15 =35д (разница между посаженными деревьями)
2. 80 - 35 = 45д (всего деревьев осталось)
3. 45 :3 = 15д (посажено во 2 аллее)
4. 15+15 = 30д (посажено в 3 аллее)
5. 15+20 = 35д (посажено в 1 аллее)
4,8(2 оценок)
Это интересно:
Новые ответы от MOGZ: Математика
logo
Вход Регистрация
Что ты хочешь узнать?
Спроси Mozg
Открыть лучший ответ