М
Молодежь
К
Компьютеры-и-электроника
Д
Дом-и-сад
С
Стиль-и-уход-за-собой
П
Праздники-и-традиции
Т
Транспорт
П
Путешествия
С
Семейная-жизнь
Ф
Философия-и-религия
Б
Без категории
М
Мир-работы
Х
Хобби-и-рукоделие
И
Искусство-и-развлечения
В
Взаимоотношения
З
Здоровье
К
Кулинария-и-гостеприимство
Ф
Финансы-и-бизнес
П
Питомцы-и-животные
О
Образование
О
Образование-и-коммуникации
Лиза221100
Лиза221100
17.05.2021 00:24 •  Математика

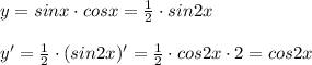
Найдите дифференциал функции у=sin(x)*cos(x)

👇
Ответ:
Fanapav
Fanapav
17.05.2021

y=sinx\cdot cosx=\frac{1}{2}\cdot sin2x\\\\y'=\frac{1}{2}\cdot (sin2x)'=\frac{1}{2}\cdot cos2x\cdot 2=cos2x

4,8(13 оценок)
Открыть все ответы
Ответ:
nastyan853958
nastyan853958
17.05.2021

Пошаговое объяснение:

Решение :                                         Проверка:

17*2=34                                              34:2=17            

65*2= 130                                          130:65=2

550:5=110                                          110*5=550

800:40=20                                         20*40=800

75:5= 15                                               15*5=75

60*8=480                                           480:8=60

84:6=14                                                14*6=84

960:6= 160                                          960:160=6

4,8(36 оценок)
Ответ:
Albina0981
Albina0981
17.05.2021
Бөек Ватан сугышының тынганына алтмыш елдан артык вакыт үтте. Мин үзем дә, әти-әнием дә сугыш чорын күрмәдек. Бу канкойгыч сугыш турында ишетеп кенә беләбез. Сугыш дип әйтүгә, минем күз алдыма җимерелгән йортлар, актарылып беткән болыннар, ятим балалар килеп баса. Әйе, рәхимсез сугыш илебез халкына әйтеп бетергесез кайгы-хәсрәт китерә. Япь-яшь егетләр, кызлар, туган җирләрен саклау өчен, фронтка китәләр. Тылда калганнар да солдатлар өчен җылы оекбашлар, бияләйләр бәйлиләр. Җиңү өчен дип, бар тырышлыкларын куялар. Сугыш бик күп гаиләләргә кайгы, ачы күз яшьләре китерә. Я ире, я уллары, я әтиләре Ватан өчен яу кырларында мәңгегә ятып кала. Ачлыктан тилмереп үлүчеләр дә күп була сугыш елларында. Шулай ук фашист концлагерьларында һәлак булучыларның саны да исәпсез. Бу сугышта бик күп якташларыбыз корбан булган. Нинди зур югалтулар!
Ләкин халыкның тырышлыгы бушка китми: күптән көтелгән Җиңү көне килә. Бу көн халкыбыз күңелендә мәңге онытылмас көн булып уелып кала. Хәзерге вакытта да 9 нчы Май Җиңү көне буларак билгеләп үтелә.
Тик шулай да, күпме еллар узса да, халык хәтерендә Бөек Ватан сугышы иң авыр, иң дәһшәтле сугыш буларак сакланыр, һәм халкыбызның кылган батырлыклары һәрвакыт хөрмәт һәм соклану белән искә алыныр.
Без ел саен 9 нчы Май көнендә Бөек Җиңүгә багышланган бәйрәм парадын карарга барабыз. Анда күкрәкләренә орден-медальләр таккан чал чәчле ветераннарны күргәч, безгә тыныч тормыш бүләк иткән өчен рәхмәт хисе уяна. Чал чәчләреннән сыйпыйсы, дөньядагы иң матур сүзләр белән юатасы, мең рәхмәт әйтәсе килә аларга!
4,7(43 оценок)
Это интересно:
Новые ответы от MOGZ: Математика
logo
Вход Регистрация
Что ты хочешь узнать?
Спроси Mozg
Открыть лучший ответ