М
Молодежь
К
Компьютеры-и-электроника
Д
Дом-и-сад
С
Стиль-и-уход-за-собой
П
Праздники-и-традиции
Т
Транспорт
П
Путешествия
С
Семейная-жизнь
Ф
Философия-и-религия
Б
Без категории
М
Мир-работы
Х
Хобби-и-рукоделие
И
Искусство-и-развлечения
В
Взаимоотношения
З
Здоровье
К
Кулинария-и-гостеприимство
Ф
Финансы-и-бизнес
П
Питомцы-и-животные
О
Образование
О
Образование-и-коммуникации
Д91
Д91
22.12.2020 09:38 •  Математика

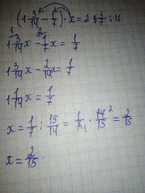
(1 целая 3/14 - 1/7)• х=2 целых 3/7 : 17 целых

👇
Ответ:
Kraddy14
Kraddy14
22.12.2020

Пошаговое объяснение:

(1 целая 3/14 - 1/7)• х=2 целых 3/7 : 17 целых

(1 3/14 - 2/14) * x = 17/7 * 1/17

1 1/14x = 1/7

x = 1/7 : 1 1/14

x = 1/7 * 14/15

x = 2/15

4,8(5 оценок)
Ответ:
hodos10
hodos10
22.12.2020
ответ во вложении........
(1 целая 3/14 - 1/7)• х=2 целых 3/7 : 17 целых
4,5(82 оценок)
Открыть все ответы
Ответ:
dimasgym
dimasgym
22.12.2020

Проводится первое семейство прямых, круг разбивается  на 23 части-- при условии, что каждая из прямых пересекает его по отрезку. Когда проводится одна из прямых второго семейства, то она пересекает 22 линий первого семейства. Если при этом она пересекает круг по отрезку , то отрезок разбивается на 23 части, и каждая из них подразбивает на две части одну из предыдущих областей разбиения. Это значит, что при проведении очередной прямой добавляется  23 части, а после проведения 24 прямых к уже имеющимся 23 частям добавится не более 552.

Рассмотрим прямую третьего семейства. Она может пересечь максимум 22+24=46

отрезков, добавив при этом 47 новых части.. В итоге к имеющемуся количеству добавится максимум 46⋅31.

Получим 23+23*24+47*31=23+552+1457=2032 части

.

4,8(93 оценок)
Ответ:
Saharok00711
Saharok00711
22.12.2020
Обозначим время затраченное на 2 участок за х
тогда время на пером участке х-0,5
путь  = скорость * время
путь на 1 участке= 42(х-0,5)
путь на 2 участке 30х
путь на 1 участке + путь на  2 участке =129
42(х-0,5)+30х=129
42х-21+30х=129
72х-21=129
72х=129+21
72х=150
х=150/72=75/36  = 1 целая 39/36 часа это время на втором участке
х-0,5=72/36-1/2=57/36 =1 целая 21/36 часа это время на первом участке

проверка
42*(57/36)+30(75/36)=(42*57+30*75)/36=(2394+2250).36=4644/36=129 

все получается только цифры какие-то нескладные
4,6(60 оценок)
Это интересно:
Новые ответы от MOGZ: Математика
logo
Вход Регистрация
Что ты хочешь узнать?
Спроси Mozg
Открыть лучший ответ