№599
0,07+0,11=0,18
70+0,0481=70,0481
5+0,017=5,017
11+0,017+0,017=11,034
№601
9 мм = 0,9 см = 9/10
29 мм = 2,9 см = 2 9/10
31 мм = 3,1 см = 3 1/10
256 мм = 25,6 см = 25 6/10
491 мм = 49,1 см = 49 1/10
12 см 3 мм = 12,3 см = 12 3/10
8 см 5 мм = 8,5 см = 8 5/10
3 ц 24 кг = 3,24 ц = 3 24/100
11 ц 8 кг = 11,08 ц = 11 8/100
5 ц 24 кг = 5,24 ц = 5 24/100
632 кг = 6,32 ц = 6 32/100
3750 кг = 37,50 ц = 37 50/100
41141 кг = 411,41 ц = 411 41/100
Пошаговое объяснение:
если нужно некоторые можно дальше сокращать, например, 25 6/10 = 25 3/5. Но в этой теме не сокращали
x = 2.6
Пошаговое объяснение:

Сначала приведем к общему знаминателю дроби.
Находим наименьшее общее кратное знаменателей дробей. НОК(3, 6, 4) = 12. Это число и будет новым знаменателем.
Чтобы знаменатели всех дробей стали равны 12, числитель и знаменатель первой дроби нужно домножить на 4 = 12:3, числитель и знаменатель второй дроби - на 2 = 12:6,а числитель и знаменатель третей дроби - на 3 = 12:4.

Теперь рассматриваем только числители и решаем уравнение.
8x - (4x+2) = 9x - 15
8x - 4x - 2 = 9x -15
4x - 9x = -15 + 2
-5x = -13

x = 2.6
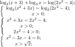
В последней системе из первого уравнения получаем два корня: (-1) и 4. -1 не подходит из-за ограничения x>√2 (получается логарифм от отрицательного числа), 4 - подходит.
ответ: 4.