М
Молодежь
К
Компьютеры-и-электроника
Д
Дом-и-сад
С
Стиль-и-уход-за-собой
П
Праздники-и-традиции
Т
Транспорт
П
Путешествия
С
Семейная-жизнь
Ф
Философия-и-религия
Б
Без категории
М
Мир-работы
Х
Хобби-и-рукоделие
И
Искусство-и-развлечения
В
Взаимоотношения
З
Здоровье
К
Кулинария-и-гостеприимство
Ф
Финансы-и-бизнес
П
Питомцы-и-животные
О
Образование
О
Образование-и-коммуникации
dariadaria6
dariadaria6
11.03.2020 14:23 •  Математика

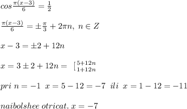
Найдите наибольший отрицательный корень cos pi(x-3)/6=1/2

👇
Ответ:
vovalomov00
vovalomov00
11.03.2020
cos\frac{\pi (x-3)}{6}=\frac{1}{2}\\\\\frac{\pi (x-3)}{6}=\pm \frac{\pi}{3}+2\pi n,\; n\in Z\\\\x-3=\pm 2+12n\\\\x=3\pm 2+12n=\left \ [ {{5+12n} \atop {1+12n}} \right. \\\\pri\; n=-1\; \; x=5-12=-7\; \; ili\; \; x=1-12=-11\\\\naibolshee\; otricat.\; x=-7
4,4(53 оценок)
Открыть все ответы
Ответ:
Максбабич
Максбабич
11.03.2020
Баланың өзінен жасы үлкендерді, әсіресе, ата-анасын сыйлауы керек деген пікір ертеден қалыптасқан. Мұнымен қатар, сөздікте сыйлау деген жасы үлкенді құрметтеу ғана емес, оның тұлғалық қасиеттерін мойындау екені жазылған. Алайда, жасы үлкен мен сыйлы жанның мәртебесі бірдей ме? Сыйластық бар жерде махаббат та бар. Ата-анаға деген сыйластық пен махаббат – ең ұлы сезім. Отбасындағы үлкендерді сыйлау арқылы бала болашақ өмірге жүрегіндегі ерекше мейірімділікпен қадам басады. Ведикалық астрологияға сүйенер болсақ, адам әкесін құрметтеу арқылы мансап жолында жолы болып, үлкен табысқа кенеледі. Мұнымен қатар, сенімділік пен тұрақтылыққа ие болады. Ал анаға деген сыйластық сабыр мен жұмсақ мінездің қалыптасуына негіз болады. Даналардың әке-шешесін сыйламаған бала тамырсыз өскен бұтаққа немесе бастаусыз аққан бұлаққа ұқсайды деген сөздері бекер айтылмаса керек.

Материалды көшіріп басқанда Massaget.kz сайтына гиперсілтеме міндетті түрде қойылуы тиіс. Авторлық құқықты сақтаңыз
4,5(53 оценок)
Ответ:
MariyaKokhonova
MariyaKokhonova
11.03.2020
арифметически:
по условию найдем во сколько раз отец старше дочери:
3*3=9 раз
1+9=10 частей будет возраст папы (9 частей) и дочери (1 часть)
можем найти одна часть:
50:10=5 лет дочери
9*5=45 лет отцу

 уравнением. Пусть сестре х лет,тогда Пете 3х лет,а папе 3*3х=9х лет.По условию задачи сестре и папе вместе 50 лет.Составим уравнение:х+9х=5010х=50х=50:10х=5(лет)-сестре9х=9*5=45(лет)-папеСестра-х
Значит Петя - 3х
Значит папа - 9 х
х + 9х = 50
10х = 50
х = 50 : 10
х =5 (лет) - сестре
3х = 15 (лет) - Пете
9х = 45 (лет) - папе
ответ : Папе 45 лет
4,6(87 оценок)
Это интересно:
Новые ответы от MOGZ: Математика
logo
Вход Регистрация
Что ты хочешь узнать?
Спроси Mozg
Открыть лучший ответ