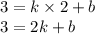
A(2; 3), B(4; 5)
Решение:Шаг 1:
Запишем уравнение прямой:

Шаг 2:
Подставим координаты точки A(2; 3) в уравнение:

Шаг 3:
Подставим координаты точки B(4; 5) в уравнение:

Шаг 4:
Запишем систему уравнений и решим ее:

Шаг 5:
Записать уравнение прямой:

ДАНО: Y(x) = 9/4*x⁴ - 13/3*x² + 1/2 .
ИССЛЕДОВАНИЕ:
Заполняем таблицу - таблица в приложении.
Описание ГЛАЗАМИ: Функция четвертого порядка с положительным коэффициентом - примерно парабола и ветви вверх. Должно быть четыре корня.
1. Область определения. Непрерывная. Разрывов нет.
Dx = (-∞;+∞)
2. Корни функции: х1 = - 1,95 и х3 = -0,52. Двух других нет. Нахождение самих корней - без комментариев.
3. Интервалы знакопостоянства (дополнительно к таблице).
Положительна: Y>0 X∈(-∞;-1.95)∪(-0.52;+∞) - вне корней.
Отрицательна: Y<0 X∈(-1.95;-0.52) - между корней.
4. Поиск экстремумов по первой производная функции .
Y'(x) = 9*x³ +13*x² = x²*(x + 13/9) = 0
Точки экстремумов: x 5 = - 13/9 (- 1,44), x6 = 0, x7 = 0
5 Ymin(х5) = Y(-1,44) = , Ymax(х6) = Y(x7) = (не максимальное) = +∞
6. Интервалы монотонности.
Убывает: Х∈(-∞;x5=-0.96) Возрастает: Х∈(х5=-0,96;+∞)
7, Поиск точек перегиба по второй производной
Y"(x) = 27*x² +26х = х*(х + 26/27) = 0
x8 = - 26/27 (≈-0,96) и х9 = 0 - точки перегиба.
8. Вогнутая - "ложка" - Х∈(-∞;х8=-0,96)∪(х9=0;+∞) - вне корней.
Выпуклая - "горка" - Х∈(х8=-0,96);(х9=0))
Строим график - график на рисунке в приложении.

Дана функция y=x³ +12x²+45x+50.
1. Определить область определения функции:
ограничений нет, вся числовая ось: D(f) = R.
2. Исследовать функцию на четность не четность:
f(-x) = (-x)³ + 12(-x)² + 45(-x) + 50 = -x³ + 12x²- 45x + 50 ≠ f(x),
f(-x) = -(x³ - 12x²+ 45x - 50) ≠ f(x). Значит, функция общего вида.
3. Найти координаты точек пересечения графика функции с осями координат:
- с осью Оу при х = 0. у = 50.
- с осью Ох при у = 0.
Надо решить уравнение x³ + 12x²+ 45x + 50 = 0.
Находим корни этого уравнения среди множителей свободного члена.
50 = +-1*+-2*+-5*+-5.
При подстановке определяем: х = -2 и х = -5 (2 раза).
x³ + 12x²+ 45x + 50 = (х + 2)*(х + 5)*(х + 5) = 0. х = -2 и х = -5.
4. Исследовать функцию на непрерывность, определить характер точек разрыва функции, если они имеются; найти асимптоты кривой:
точек разрыва и асимптот функция не имеет.
5. Найти интервалы возрастания и убывания функции и ее экстремумы.
Производная равна 3x²+ 24x + 45 = 3(x²+ 8x + 15).
Приравниваем её нулю (множитель в скобках):
x²+ 8x + 15 = 0.
Д = 64 - 4*1*15 = 4. х = (-8 +- 2)/2 = -3 и -5.
Находим знаки производной на полученных промежутках.
х = -6 -5 -4 -3 -1
y' = 9 0 -3 0 24.
Переход с + на - это максимум (х = -5, у = 0), с - на + это минимум(х = -3, у = -4). На промежутке (-∞; -5) и (-3; +∞) функция возрастает, на промежутке (-5; -3) функция убывает.
6. Найти интервалы выпуклости вверх и выпуклости вниз; определить точки перегиба
: y'' = (3x²+ 24x + 45)' = 6x + 24 = 6(x + 4) = 0.
Точка перегиба х = -4, у = -2.
Находим знаки второй производной на полученных промежутках.
x = -5 -4 -3
y'' = -6 0 6.
Где вторая производная меньше нуля, там график функции выпуклый, а где больше - вогнутый:
• Выпуклая на промежутке: (-∞; -4).
• Вогнутая на промежутке: (-4; +∞).
7. Построить график функции.
Таблица точек:
x y
-7.0 -20
-6.5 -10.1
-6.0 -4
-5.5 -0.9
-5.0 0
-4.5 -0.6
-4.0 -2
-3.5 -3.4
-3.0 -4
-2.5 -3.1
-2.0 0
-1.5 6.1
-1.0 16
График - в приложении.
1. определить область существ" />
Поскольку знаменатели одинаковые их можно сократить