Вход
Регистрация
Спроси Mozg AI
М
Молодежь
К
Компьютеры-и-электроника
Д
Дом-и-сад
С
Стиль-и-уход-за-собой
П
Праздники-и-традиции
Т
Транспорт
П
Путешествия
С
Семейная-жизнь
Ф
Философия-и-религия
Б
Без категории
М
Мир-работы
Х
Хобби-и-рукоделие
И
Искусство-и-развлечения
В
Взаимоотношения
З
Здоровье
К
Кулинария-и-гостеприимство
Ф
Финансы-и-бизнес
П
Питомцы-и-животные
О
Образование
О
Образование-и-коммуникации
.....больше.....
..меньше..
dan776
27.01.2022 10:46 •
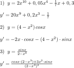
Математика
Найти производные функций, пользуясь формулами и правилами дифференцирования
👇
Увидеть ответ
Ответ:
ян6
27.01.2022
4,4
(75 оценок)
Открыть все ответы
Ответ:
Torisan
27.01.2022
1. НОЗ у 5 цел. 3/4 и 7/12 = 12. Тогда Привидем дроби к НОЗ: 5 цел. 9/12 и 7 12. 12 распишем как 11 цел. 12/12. Тогда:
11 цел. 12/12 - 5 цел. 9/12 - 7/12 = 6 цел. 3/12 - 7/12 = 5 цел 15/12 - 7/12 = 5 цел. 8/12. ответ 5 цел. 8/12.
2. 6Ц 2/15 > 5Ц 8/9
3. Чтобы найти сторону МК, найдем длину стороны NK:
У 8Ц 5/7 и 4/21 НОЗ = 21. Тогда приведем первую дробь к НОЗ, получим: 8Ц 15/21. Теперь найдем NK: 8Ц 15/21 - 4/21 = 8Ц 11/21. Итак, NK = 8Ц 11/21. Теперь, т.к. Периметр - сумма длин всех сторон, вычтем из Периметра две стороны. 30 представим как 29Ц 21/21. Тогда МК = 29Ц 21/21 - 8Ц 11/21 - 8Ц 15/21 = 21Ц 10/21 - 8Ц 15/21 = 20Ц 31/21 - 8Ц 15/21 = 12Ц 16/21. Теперь, можем сделать проверку, сложив длины всех сторон: 12Ц 16/21 + 8Ц 11/21 + 8Ц 15/21 = 28Ц 42/21 = 30Ц
ответ: МK = 12Ц 16/21
4,5
(24 оценок)
Ответ:
SirenaLi27
27.01.2022
1. НОЗ у 5 цел. 3/4 и 7/12 = 12. Тогда Привидем дроби к НОЗ: 5 цел. 9/12 и 7 12. 12 распишем как 11 цел. 12/12. Тогда:
11 цел. 12/12 - 5 цел. 9/12 - 7/12 = 6 цел. 3/12 - 7/12 = 5 цел 15/12 - 7/12 = 5 цел. 8/12. ответ 5 цел. 8/12.
2. 6Ц 2/15 > 5Ц 8/9
3. Чтобы найти сторону МК, найдем длину стороны NK:
У 8Ц 5/7 и 4/21 НОЗ = 21. Тогда приведем первую дробь к НОЗ, получим: 8Ц 15/21. Теперь найдем NK: 8Ц 15/21 - 4/21 = 8Ц 11/21. Итак, NK = 8Ц 11/21. Теперь, т.к. Периметр - сумма длин всех сторон, вычтем из Периметра две стороны. 30 представим как 29Ц 21/21. Тогда МК = 29Ц 21/21 - 8Ц 11/21 - 8Ц 15/21 = 21Ц 10/21 - 8Ц 15/21 = 20Ц 31/21 - 8Ц 15/21 = 12Ц 16/21. Теперь, можем сделать проверку, сложив длины всех сторон: 12Ц 16/21 + 8Ц 11/21 + 8Ц 15/21 = 28Ц 42/21 = 30Ц
ответ: МK = 12Ц 16/21
4,6
(9 оценок)
Это интересно:
Д
Дом-и-сад
30.08.2022
Как освободить лезвие бритвы от ржавчины одним приемом?...
С
Стиль-и-уход-за-собой
25.11.2021
Обвисание груди в молодом возрасте: как избежать...
10.10.2021
Как понять, что парень хочет вас поцеловать в кинотеатре?...
К
Компьютеры-и-электроника
20.07.2021
Как легко воспроизводить файлы WMV на Ubuntu?...
К
Компьютеры-и-электроника
06.05.2020
Как перевернуть дисплей компьютера вверх ногами: детальное руководство...
С
Стиль-и-уход-за-собой
23.02.2022
Как ухаживать за вьющимися от природы волосами...
О
Образование-и-коммуникации
19.12.2022
Методы высушивания цветов: вдохновляющие идеи и лучшие советы...
К
Кулинария-и-гостеприимство
03.02.2020
Как использовать вафельницу: подробный гид по приготовлению вафель...
К
Компьютеры-и-электроника
15.02.2021
Как избавиться от Mystart.Incredibar.Com: советы от экспертов...
К
Компьютеры-и-электроника
05.09.2020
Как использовать контроллер Xbox 360 вместе с Windows...
Новые ответы от MOGZ: Математика
aydarsadikov
16.05.2022
Три целых две седьмых умножить на восемь целых пять десятых минус одна целая пять десятых умножить на три целых две седьмых...
ала213
26.06.2022
Решите уравнение 4,2*(0,25+х) =1,47...
галибович
26.06.2022
Поставте замість зірочки таку цифру, щоб число 345* ділилося на а) 5; б) на 3; в) і на 3, і на 5...
kuzhbapolina20
29.08.2022
Решите уравнение [tex]\frac{10}{x-4}[/tex] - [tex]\frac{5}2}[/tex]...
Дедушка91
01.09.2021
Разделите число : 100в отношении 1/2: 1/3...
Александра52006
20.06.2020
Решите уравнение [tex]\frac{x}{2}[/tex] +[tex]\frac{x}{3}[/tex] + x = [tex]\frac{44}{3}[/tex]...
Мальчик004
02.11.2020
Укажите уравнение, среди корней которого нет рациональных чисел. 1) [tex]x^{3}[/tex] = 9 2) [tex]x^{2}[/tex] + 1 = 17 3)[tex]\sqrt{x}[/tex] =[tex]\frac{1}{7}[/tex] 4) |x| = 0...
Ксенияkek
01.09.2021
Укажите наибольшее и наименьшее значения выражения: а)1-sin а б)2+cos а...
вопросник45
08.11.2022
Вромбе сумма диагоналей равна 2d, а острый угол равен х. найдите его площадь....
Bomb9931
10.07.2021
Брат на два года старше сестры пусть x лет-возраст сестры, y- возраст брата запиши формулу зависимости x от y .составь таблицу и график этой зависимости для значений x , удолятворяющих...
MOGZ ответил
Определите перемещение, совершаемое грузом, колеблющимся на пружине, за время,...
I. поставьте предложения в вопросительную и отрицательную формы. 2. in the 19...
Выписать предложения с обособленным обстоятельством из 2 и 3 главы евгения онегина....
Что писал н. м. шанский для тех, кто интересуется , культурой своего одна из...
Сочинение на тему что человеку повзрослеть с примерами из капитанской дочки...
От идеальной теплосиловой установки, работающей по циклу карно, отводится ежечасно...
Иван взял кредит в банке на срок 6 месяцев. в конце каждого месяца общая сумма...
Сломя голову -во все лопатки как в воду канул -след простыл бить баклуши -валять...
Решите квадратичные неравенства: а)(2x-3)(x+1) x^2+17 б)11-x =(x+1)^2 в)-3x^2...
Переведите на татарский: -доброе утро мама. - марина. -мама,а можно я к подружке...
Полный доступ к MOGZ
Живи умнее Безлимитный доступ к MOGZ
Оформи подписку
О НАС
О нас
Блог
Условия пользования
Авторское право
Политика конфиденциальности
Предпочтения cookie-файлов
ПОМОЩЬ
Зарегистрируйся
Центр помощи
Центр безопасности
App
Вход
Регистрация
Что ты хочешь узнать?
Спроси Mozg
Открыть лучший ответ