М
Молодежь
К
Компьютеры-и-электроника
Д
Дом-и-сад
С
Стиль-и-уход-за-собой
П
Праздники-и-традиции
Т
Транспорт
П
Путешествия
С
Семейная-жизнь
Ф
Философия-и-религия
Б
Без категории
М
Мир-работы
Х
Хобби-и-рукоделие
И
Искусство-и-развлечения
В
Взаимоотношения
З
Здоровье
К
Кулинария-и-гостеприимство
Ф
Финансы-и-бизнес
П
Питомцы-и-животные
О
Образование
О
Образование-и-коммуникации
Евус1111
Евус1111
24.10.2021 16:11 •  Математика

Две бригады трактористов, работая вместе, могут вспахать поле за 15/4 часов.работая порознь, первая бригада вспахивает поле на 4 часа быстрее второй. за сколько часов могут вспахать поле первая и вторая бригады, работая по отдельности

👇
Ответ:
usb55991
usb55991
24.10.2021
Время, чтобы вспахать все поле первой бригаде х час
время, чтобы вспахать все поле 2 бригаде х+4 час

производительность ( или какая часть поля будет вспахана за 1 час)
1 бригады - 1/х
2 бригады- 1/(х+4)

Вместе за 1 час они вспашут  1/х+1/(х+4)

НА то чтобы вспахать все поле нужно 15/4 час
составим уравнение ( при условии, что все поле принимается за единицу) 

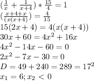
\dispaystyle (\frac{1}{x}+ \frac{1}{x+4})* \frac{15}{4}=1\\( \frac{x+4+x}{(x(x+4)})= \frac{4}{15}\\15(2x+4)=4(x(x+4))\\30x+60=4x^2+16x\\4x^2-14x-60=0\\2x^2-7x-30=0\\D=49+240=289=17^2\\x_1=6; x_2\ \textless \ 0

Значит время первой бригады =6 час, Второй бригады 10 час
чтобы вспахать все поле
4,4(16 оценок)
Открыть все ответы
Ответ:
QFARRO
QFARRO
24.10.2021

Пошаговое объяснение:

Трапеция АВСД

АВ=ВС=x – меньшие стороны образуют прямой угол.

Вторая сторона x+d

Третья x+d+d=x+2d

Наибольшая сторона – основание АД.

Почему?

Проводим высоту из точки С на сторону АД

Возможны два варианта

CД=x+d; АД=х+2d

ИЛИ

CД=x+2d; АД=х+d

В прямоугольном треугольнике СКД проверяем справедливость теоремы Пифагора.

В первом случае:

x2+(2d)2=(x+d)2 ⇒

x2+4d2=x2+2xd+d2 ⇒

3d2=2xd

3d=2x

Во втором случае:

x2+d2=(x+2d)2 ⇒

2xd+3d2=0

x>0; d>0 сумма двух положительных чисел равна 0, возможно когда каждое слагаемое равно 0

d=0 нет никакой прогрессии

Теперь используем условие про периметр:

x+x+(x+d)+(x+2d)=144

4x+3d=144

4x+2x=144

6x=144

x=24

d=2x/3=16

x+d=40

x+2d=56

24+24+40+56=144 – все верно

Наибольшая 56

4,7(57 оценок)
Ответ:
larjon
larjon
24.10.2021

Такое надо в уме решать...в идеале..

на числовой прямой отмечаем нули функции, т.е точки при значении которых каждый двучлен равен 0.

Отмечаем закрашенную точку 4, и выколотую -1, т.к. знаменатель неравен 0.

Дальше рассматриваете интервалы:

От -∞ до -1 не включая, оба выражения отрицательны, а значит, само выражение положительно. Ставим +.

От -1 до 4, нижнее строго больше нуля, верхнее меньше или равно нулю. Все выражение меньше или равно нулю. Ставим -.

От 4 до +∞, и нижнее, и верхнее больше нуля, значит, ставим +.

Смотрим, нам подходит только  средний интервал, т.е. х принадлежит от -1 до 4 вкл.

ответ: х∈(-1; 4].


Решить неравенство методом интервалов ​
4,4(82 оценок)
Новые ответы от MOGZ: Математика
logo
Вход Регистрация
Что ты хочешь узнать?
Спроси Mozg
Открыть лучший ответ