М
Молодежь
К
Компьютеры-и-электроника
Д
Дом-и-сад
С
Стиль-и-уход-за-собой
П
Праздники-и-традиции
Т
Транспорт
П
Путешествия
С
Семейная-жизнь
Ф
Философия-и-религия
Б
Без категории
М
Мир-работы
Х
Хобби-и-рукоделие
И
Искусство-и-развлечения
В
Взаимоотношения
З
Здоровье
К
Кулинария-и-гостеприимство
Ф
Финансы-и-бизнес
П
Питомцы-и-животные
О
Образование
О
Образование-и-коммуникации
Dariailko
Dariailko
05.12.2020 19:39 •  Математика

Сумма двух чисел равна 48. найдите эти числа, если 40% одного из них равны 2/3 другого.

👇
Ответ:
Lugazat
Lugazat
05.12.2020
Данную задачу можно решить с системы уравнений.
40% от числа составляют 0,4 этого числа.
Пусть искомые числа будут Х и У.
По условию 40% Х = 2/3 У, а это значит 0,4x= \frac{2}{3} y
так же по условию известна сумма данных чисел, т.е. х+у=48.
Составим систему уравнений и решим её:
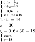
\left \{ {{0,4x= \frac{2}{3} y} \atop {x+y=48}} \right. \\ \left \{ {{0,6x=y} \atop {x+0,6x=48}} \right. \\ 1,6x=48 \\ x=30 \\ y=0,6*30=18 \\ \left \{ {{x=30} \atop {y=18}} \right.
ответ: данные числа 18 и 30.
4,5(34 оценок)
Открыть все ответы
Ответ:
19Otlichnik19
19Otlichnik19
05.12.2020

52 рыбы составляет весь улов

Пошаговое объяснение:

1. 5/13 - 2/13 = 3/13 - на 3/13 больше поймал первый рыбак, чем второй, что составляет 12 рыб.

2. 12 : 3 * 13 = 4*13 = 52 (рыбы) составляет весь улов

Или решение через х:

Первый рыбак поймал 5/13 всего улова,  второй - 2/13 всего улова.

Пусть весь улов составляет х рыб.

Тогда: 5/13х поймал первый рыбак, 2/13х рыб поймал второй рыбак.

Известно, что 1-й рыбак поймал на 12 рыб больше, чем 2-й

Составим уравнение:

5/13х - 2/13х = 12

3/13х = 12

х = 12 : 3/13

х = 12 * 13/3

х = 4 * 13 = 52 (рыбы) составляет весь улов

4,7(17 оценок)
Ответ:
Qqertyi
Qqertyi
05.12.2020
Такие задачи можно делать некрасиво, с дробями, а можно красиво. Буду учить Вас красивому Первое равенство говорит о том, что если x поделить на две части, а y на 9 частей, то эти части будут совпадать. Иными словами, условие в задаче означает, что x=2p; y=9p.
Аналогично второе условие означает, что y=6q; z=7q.
Пока рассуждение не устраивает меня в полной мере, мне хочется, чтобы все три неизвестные выражались через какую-то одну, причем без дробей. 
Обращаем внимание сейчас на y, потому что он входит в оба равенства. В первом случае мы делили y на 9 частей,  но это не устраивает нас во втором случае, когда мы делили y на 6 частей. Все встает на свои места, если каждую из 9 частей игрека мы поделим на 2 (получится 18 частей) (конечно, части x нам тоже придется делить пополам; получится 4 части) ,
а каждую из 6 частей игрека поделим на три (снова получится 18 частей, при этом части z нам тоже придется делить на три; получится 21 часть.

Окончательно это мое (надеюсь не слишком сложное) рассуждение подсказывает записать

                                         x=4t; y=18t; z=21t.

А тогда 86=x+y+z=4t+18t+21t=43t ⇒ t=2⇒ x=8; y=36; z=42.

Надеюсь, Вам понравилось мое рассуждение, Вы его освоите, научитесь делать подобного типа рассуждения почти автоматически, что не раз Вам избегать утомительных вычислений с дробями.
4,7(5 оценок)
Новые ответы от MOGZ: Математика
logo
Вход Регистрация
Что ты хочешь узнать?
Спроси Mozg
Открыть лучший ответ