М
Молодежь
К
Компьютеры-и-электроника
Д
Дом-и-сад
С
Стиль-и-уход-за-собой
П
Праздники-и-традиции
Т
Транспорт
П
Путешествия
С
Семейная-жизнь
Ф
Философия-и-религия
Б
Без категории
М
Мир-работы
Х
Хобби-и-рукоделие
И
Искусство-и-развлечения
В
Взаимоотношения
З
Здоровье
К
Кулинария-и-гостеприимство
Ф
Финансы-и-бизнес
П
Питомцы-и-животные
О
Образование
О
Образование-и-коммуникации
leradorozhnyak
leradorozhnyak
10.09.2021 17:18 •  Математика

Найдите корень уравнения 1/(5x-3) = 2

👇
Ответ:
arinka3859
arinka3859
10.09.2021
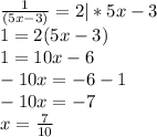
\frac{1}{(5x-3)}=2 |*5x-3
\\ 1=2(5x-3)
\\1=10x-6
\\-10x=-6-1
\\-10x=-7
\\x= \frac{7}{10}
4,8(31 оценок)
Открыть все ответы
Ответ:
rudypal12p08ufl
rudypal12p08ufl
10.09.2021

по действиям

1) 700:5=140 (км/ч) - сумма скоростей автобуса и грузовой машины

2) (140-16):2=62 (км/ч) - скорость автобуса

3) 62+16=78 (км/ч) - скорость грузовой машины

уравнением

х км/ч - скорость автобуса

(х+16) км/ч - скорость грузовой машины

5 ч - время движения

Движение встречное

700 км - расстояние между автобусом и грузовой машиной

Скорость автобуса -?

Скорость грузовой машины -?

Составим уравнение:

5(х+х+16)=700

5(2х+16)=700

2х+16=700:5

2х+16=140

2х=140-16

2х=124

х=124:2

х=62 (км/ч) - скорость автобуса

х+16= 62+16=78 (км/ч) - скорость грузовой машины

4,7(50 оценок)
Ответ:
Tyan789
Tyan789
10.09.2021

Пошаговое объяснение:

1) В книге 200 страниц. Ученик прочитал 10% всей книги. Сколько страниц прочитал ученик?

В книге 200 страниц.

Ученик прочитал 10% всей книги.

Сколько страниц прочитал ученик?

Примем книгу где 200 страниц за 100%.

Найдем сначала 1% от 200 страниц. Для этого нужно 200 разделить на 100. Имеем 200 : 100 = 2 страницы. Полученный результат нужно умножить на количество процентов. Имеем 2 * 10 = 20 страниц.

ответ: ученик прочитал 20 страниц.

2) В школе 500 учащихся. Ученики пятого класса составляют 12 % всех учащихся. Сколько учеников пятых классов в школе?

В школе 500 учащихся.

Ученики пятого класса составляют 12 % всех учащихся.

Сколько учеников пятых классов в школе?

Примем 500 учащихся в школе за 100%.

Найдем сначала 1% от 500 учащихся. Для этого нужно 500 разделить на 100. Имеем 500 : 100 = 5 учеников. Полученный результат нужно умножить на количество процентов. Имеем 5 * 12 = 60 учеников пятых классов в школе.

ответ: в школе 60 учеников пятых классов.

3) Площадь, равная 10а, занята капустой, что составляет 50% всего поля. Чему равна площадь всего поля?

Площадь поля 10 а.

Поле засеяно капустой, что составляет 50% всего поля.

Чему равна площадь всего поля?

Примет всю площадь поля за 100%.

Найдем количество ар поля, приходящаяся на 1%. Для этого надо 10 разделить на 50. Имеем, 10: 50 = 0,2 а. Чтобы узнать, площадь поля, надо умножить 0,2 на 100 (поскольку все поле составляет 100%). Итак, 0,2 * 100 = 20 а.

ответ: площадь поля равна 20 а.

4) В классе 21 мальчик, что составляет 70% учащихся класса. Сколько учащихся в этом классе?

В классе 21 мальчиков.

Это составляет 70% учащихся класса.

Сколько учащихся в этом классе?

Примет всех учащихся в этом классе за 100%.

Найдем количество учащихся, приходящаяся на 1%. Для этого надо 21 разделить на 70. Имеем, 21: 70 = 0,3. Чтобы узнать, сколько учащихся в этом классе, надо умножить 0,3 на 100 (поскольку весь класс составляет 100%). Итак, 0,3 * 100 = 30 учащихся.

ответ: всего учащихся в этом классе составляет 30 человек.

5) В книге 60 страниц. Наташа уже прочитала 17 страниц. Какую часть книги прочитала Наташа.

В книге 60 страниц.

Наташа уже прочитала 17 страниц.

Какую часть книги прочитала Наташа?

Для того, чтобы определить часть от целого значения, необходимо известное число разделить на общую часть.

Если книга из 60 страниц, это целое, то часть книги, которую прочитала Наташа составит: 17 : 60 = 17/60 часть всей книги.

ответ: Наташа прочитала 17/60 часть всей книги

6) В мае 31 день. Из них 6 дней были выходными. Какая часть выходных дней в мая.

В мае 31 день.

Из них 6 дней были выходными.

Какая часть выходных дней в мая?

Для того, чтобы определить часть от целого значения, необходимо известное число разделить на общую часть.

Если в месяце 31 день, это целое, то часть выходных в мае от общего числа дней составит: 6 : 31 = 6/31 от общего числа дней в мае.

ответ: 6/31 часть выходных дней мая.

7) В пятом классе 25 учеников, 17 из них учатся без троек. Какая часть класса учится без троек?

В пятом классе 25 учеников.

17 из них учатся без троек.

Какая часть класса учится без троек?

Для того, чтобы определить часть от целого значения, необходимо известное число разделить на общую часть.

Если  в классе 25 учеников, это целое, то часть учеников, которые учатся без троек составит: 17 : 25 = 17/25 часть учеников которые учатся без троек.

ответ: 17/25 часть учеников в классе учатся без троек.

4,8(85 оценок)
Это интересно:
logo
Вход Регистрация
Что ты хочешь узнать?
Спроси Mozg
Открыть лучший ответ