М
Молодежь
К
Компьютеры-и-электроника
Д
Дом-и-сад
С
Стиль-и-уход-за-собой
П
Праздники-и-традиции
Т
Транспорт
П
Путешествия
С
Семейная-жизнь
Ф
Философия-и-религия
Б
Без категории
М
Мир-работы
Х
Хобби-и-рукоделие
И
Искусство-и-развлечения
В
Взаимоотношения
З
Здоровье
К
Кулинария-и-гостеприимство
Ф
Финансы-и-бизнес
П
Питомцы-и-животные
О
Образование
О
Образование-и-коммуникации
Златаник2017
Златаник2017
11.07.2021 05:31 •  Математика

Решите ) заранее ) 25х²-1=0 4х²-3х-22=0

👇
Ответ:
lidiyavasilenkо
lidiyavasilenkо
11.07.2021
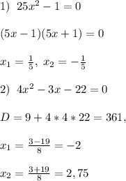
1)\; \; 25x^2-1=0\\\\(5x-1)(5x+1)=0\\\\x_1=\frac{1}{5},\; x_2=-\frac{1}{5}\\\\2)\; \; 4x^2-3x-22=0\\\\D=9+4*4*22=361,\\\\x_1=\frac{3-19}{8}=-2\\\\x_2=\frac{3+19}{8}=2,75
4,4(16 оценок)
Открыть все ответы
Ответ:
sladkaiakailinn
sladkaiakailinn
11.07.2021
Nyusha was walking along the shore with her friend Barashko. They bathed in the sea and launched boats there. And suddenly an iron monster came out of the water. They ran after the tree and look that it was not a monster and Pin invented a submarine. Nyusha and Barash wanted to sail to the bottom of the sea with the help of this vessel. Ping said that you are still young, you are still early, as a teenager, we will not only sail on a submarine ...

Перевод :Нюша гуляла у берега со своим другом Барашком. Они купались в море и запускали там кораблики. И вдруг из воды вылез железный монстр. Они убежали за дерево и смотрят что это был не монстр а Пин изобрел подводную лодку. Нюше и Барашу захотелось поплыть на дно моря с этого судна. Пин сказал что вы ещё маленькие , вам ещё рано, как подростете, мы не только будем плавать на подводной лодке...
4,8(79 оценок)
Ответ:
Olivka09
Olivka09
11.07.2021

3 300 003

3 300 030

3 300 300

3 303 000

3 330 000 -числа с 3 в сотнях тысяч

3030003

3030030

3030300

3033000

3003003

3003030

3003300 -десятки тысяч

3000303

3000330 -сотни

3000033-десятки

вариантов 15

Пошаговое объяснение:

число семизначное, первая тройка будет обязательно. Пусть вторая тройка будет пограничная, т.е слева от неё не может ничего быть, кроме нулей и первой тройки. Чередуем вторую тройку сначала в сотнях, потом в десятках, потом в единицах тысяч. А третья тройка будет чередоваться и ходить от второй тройки до конца, пока не закончатся варианты.

4,7(49 оценок)
Новые ответы от MOGZ: Математика
logo
Вход Регистрация
Что ты хочешь узнать?
Спроси Mozg
Открыть лучший ответ