М
Молодежь
К
Компьютеры-и-электроника
Д
Дом-и-сад
С
Стиль-и-уход-за-собой
П
Праздники-и-традиции
Т
Транспорт
П
Путешествия
С
Семейная-жизнь
Ф
Философия-и-религия
Б
Без категории
М
Мир-работы
Х
Хобби-и-рукоделие
И
Искусство-и-развлечения
В
Взаимоотношения
З
Здоровье
К
Кулинария-и-гостеприимство
Ф
Финансы-и-бизнес
П
Питомцы-и-животные
О
Образование
О
Образование-и-коммуникации
denis2013den
denis2013den
30.12.2020 13:31 •  Математика

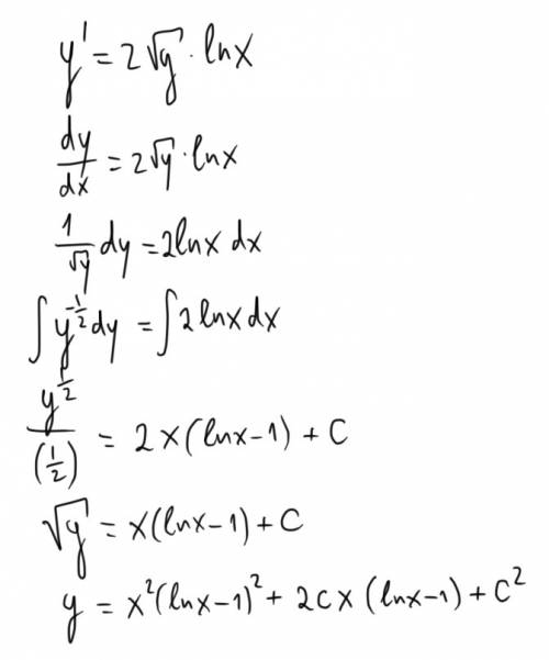
Проинтегрировать дифференциальное уравнение.

👇
Ответ:
shluhiNovokrai
shluhiNovokrai
30.12.2020
Решение на картинке. 
Проинтегрировать дифференциальное уравнение.
4,7(61 оценок)
Открыть все ответы
Ответ:
rop12341234
rop12341234
30.12.2020

1)P(X=0)=0,1*0,2*0,3=0,006

P(X=1)=0,9*0,2*0,3+0,1*0,8*0,3+0,1*0,2*0,7

P(X=2)=0,9*0,8*0,3+0,9*0,2*0,7+0,1*0,8*0,7

P(X=3)=0,9*0,8*0,7

2)ответ:

X  0 1 2 3 4

0,4096

0,4096

0,1536

0,0256

0,0016

3)Обозначим X - число опробованных ключей. Данная случайная величина может принимать следующие значения:

{X=1} - испробовали только один ключ (первый ключ является подходящим)

{X=2} - испробовали два ключа (первый ключ не подошел, второй ключ является искомым)

{X=3}- испробовали три ключа (первые два ключа не подошли, третий ключ является искомым)

{X=4]- испробовали четыре ключа (первые три ключа не подошли, четвертый ключ является искомым)

P(X=1) = 1/4

P(X=2) = 3/4*1/3 = 1/4

P(X=3) = 3/4*2/3*1/2 = 1/4

P(X=4) = 3/4*2/3*1/2*1 = 1/4

Ряд распределения случайной величины имеет вид

1 2 3 4

1/4 1/4 1/4 1/4

M(X) = 1*1/4 + 2*1/4 + 3*1/4 + 4*1/4 = 10/4

M(X^2) = 1*1/4 + 4*1/4 + 9*1/4+ 16*1/4 = 30/4

D(X) = M(X^2) - (M(X))^2 = 30/4 - 10/4 = 5

Функция распределения случайной величины имеет вид

{0, 0<=X<1

{1/4, 1<=X<2

F(X) = {2/4, 2<=X<3

{3/4, 3<=X<4

{0, X>=4

4)

Пошаговое объяснение:

4,6(1 оценок)
Ответ:
svetikkosharna
svetikkosharna
30.12.2020

А) Перечислением множеств А и В называется  множество А U(Только перевернутая вниз. Я просто не знала как сделать этот знак) В, элементы которого принадлежат как множеству А, так и множеству В.

Б) Объединением множеств А и В называется множество С, состоящее из всех элементов, принадлежащих хотя бы одному из данных множеств (т. е. либо A, либо B, либо одновременно и A и B). Объединение множеств обозначается символами "+" и "U ": C = A U B. Пример. Даны множества А = {-6, -3, 0, 3, 6} и B = {0, 2, 4, 6, 8}.

В) 1 пример. Пусть А - множество треугольников, площадь которых равна 6, В - множество прямоугольных треугольников.  А и В - пересекающиеся множества, так как существует треугольник, являющийся одновременно элементом множеств А и В, например треугольник со сторонами 3, 4, 5. Он прямоугольный и имеет площадь. равную 6 (проверьте эти утверждения).

2 пример. Множества {1,2,3}, {5,7}, {4,6,8} и {9} попарно не пересекаются. •

Два множества могут находиться в следующих отношениях:

1) множества могут быть пересекающимися,

2) множества могут быть непересекающимися,  

3) множества могут быть связаны отношением включения.

Ясно, что первые два отношения исключают друг друга, то есть каждое из предложений «Множества пересекаются» и «Множества не пересекаются» является отрицанием другого. Пересекающиеся множества, в частности, могут быть связаны отношением включения. На первый взгляд может показаться, что непересекающиеся множества не могут находиться в отношении включения. Это так, но только с некоторым исключением.

3 пример. Разобьем множество всех десятичных цифр {0,1,2,3,4,5,6;7,8,9} на 4 класса. Это можно сделать разными

Первое разбиение: {1,2,3}, {4,5,6}, {7,8,9}, {0}.

Другое разбиение: {0,4,8}, {1,5,9}, {2,6}, {3,7}. •

Подсчет числа всех разбиений л - элементного множества на определенное число классов является непростой задачей и решается средствами комбинаторного анализа.

При построении второго разбиения в примере мы использовали следующий принцип: вначале записали все цифры, кратные 4 (это числа вида 4/г), затем все цифры, дающие при делении на 4 остаток I (числа вида 4л + 1), далее те цифры, которые дают остаток 2 (числа вида 4л + 2) и, наконец, цифры, дающие остаток 3 (числа вида 4л + 3).

Указанный принцип позволяет разбить на 4 класса все множество целых или натуральных чисел, при этом классы будут являться бесконечными множествами.

Здесь есть пара недочетов конечно, но я старалась.

4,6(39 оценок)
Новые ответы от MOGZ: Математика
logo
Вход Регистрация
Что ты хочешь узнать?
Спроси Mozg
Открыть лучший ответ