М
Молодежь
К
Компьютеры-и-электроника
Д
Дом-и-сад
С
Стиль-и-уход-за-собой
П
Праздники-и-традиции
Т
Транспорт
П
Путешествия
С
Семейная-жизнь
Ф
Философия-и-религия
Б
Без категории
М
Мир-работы
Х
Хобби-и-рукоделие
И
Искусство-и-развлечения
В
Взаимоотношения
З
Здоровье
К
Кулинария-и-гостеприимство
Ф
Финансы-и-бизнес
П
Питомцы-и-животные
О
Образование
О
Образование-и-коммуникации
ostapenkonatasha
ostapenkonatasha
28.02.2020 17:57 •  Математика

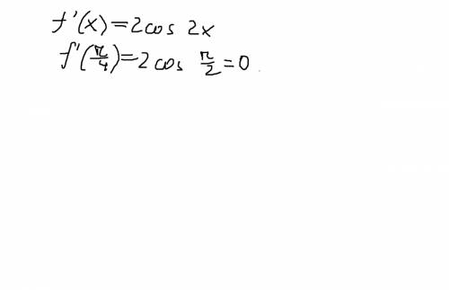
Дана функция f(x)=sin2x.найти f'(п/4)

👇
Ответ:
QUKKI
QUKKI
28.02.2020
...................................................................
Дана функция f(x)=sin2x.найти f'(п/4)
4,4(96 оценок)
Открыть все ответы
Ответ:
nastyaangel13
nastyaangel13
28.02.2020

4

Пошаговое объяснение:

Сергей разделил задуманное им натуральное число на 6 потом разделил задуманное число на семь затем разделил задуманное число на 8 получив в каждом из случаев некоторый остаток сумма этих остатков равна 18 какой остаток даёт задуманное число при делении на 28​.

Пусть  задумано Ч.

Остатки : первый меньше 6, второй меньше 7, третий меньше 8. Значит их сумма меньше либо равна 18.

Первый остаток 5, второй 6, третий 7.

Ч=6К+5

6К=7М+6

7М=8Н+7

К,М,Н -целые

6К=7*8*М*Н+49+6=56МН+55

Ч=56МН+60

56*М*Н на 28 делится.

Значит остаток  от деления на 28 равен остатку от деления 60 на 28, т.е. равен 4.

(заметим, правда, что такого числа Ч не существует. Из последнего равенства М-нечетное, а из предыдущего -четное)

4,4(28 оценок)
Ответ:
Динара22235
Динара22235
28.02.2020

4

Пошаговое объяснение:

Сергей разделил задуманное им натуральное число на 6 потом разделил задуманное число на семь затем разделил задуманное число на 8 получив в каждом из случаев некоторый остаток сумма этих остатков равна 18 какой остаток даёт задуманное число при делении на 28​.

Пусть  задумано Ч.

Остатки : первый меньше 6, второй меньше 7, третий меньше 8. Значит их сумма меньше либо равна 18.

Первый остаток 5, второй 6, третий 7.

Ч=6К+5

6К=7М+6

7М=8Н+7

К,М,Н -целые

6К=7*8*М*Н+49+6=56МН+55

Ч=56МН+60

56*М*Н на 28 делится.

Значит остаток  от деления на 28 равен остатку от деления 60 на 28, т.е. равен 4.

(заметим, правда, что такого числа Ч не существует. Из последнего равенства М-нечетное, а из предыдущего -четное)

4,4(36 оценок)
Это интересно:
Новые ответы от MOGZ: Математика
logo
Вход Регистрация
Что ты хочешь узнать?
Спроси Mozg
Открыть лучший ответ