М
Молодежь
К
Компьютеры-и-электроника
Д
Дом-и-сад
С
Стиль-и-уход-за-собой
П
Праздники-и-традиции
Т
Транспорт
П
Путешествия
С
Семейная-жизнь
Ф
Философия-и-религия
Б
Без категории
М
Мир-работы
Х
Хобби-и-рукоделие
И
Искусство-и-развлечения
В
Взаимоотношения
З
Здоровье
К
Кулинария-и-гостеприимство
Ф
Финансы-и-бизнес
П
Питомцы-и-животные
О
Образование
О
Образование-и-коммуникации
Аленчик310805
Аленчик310805
14.05.2020 15:01 •  Математика

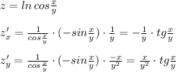
Знайти частинні похідні першого порядку z=incos x/y

👇
Ответ:
nastya2737
nastya2737
14.05.2020
z=ln\, cos\frac{x}{y}\\\\z'_{x}=\frac{1}{cos\frac{x}{y}}\cdot (-sin\frac{x}{y})\cdot \frac{1}{y}=-\frac{1}{y}\cdot tg\frac{x}{y}\\\\z'_{y}=\frac{1}{cos\frac{x}{y}}\cdot (-sin\frac{x}{y})\cdot \frac{-x}{y^2}=\frac{x}{y^2}\cdot tg\frac{x}{y}
4,4(62 оценок)
Открыть все ответы
Ответ:
au20941
au20941
14.05.2020
Ширина прямоугольника на 48% меньше длинны, а его периметр равен 7,6 см. Чему равна площадь прямоугольника? И Еще одна: Длинна прямоугольника на 3,6 см больше ширины, а ширина составляет 1/7 его периметра. Чему равна площадь прямоугольника? ответ: Задача 1. Ширина на 48% меньше длины, значит, ширина составляет 52% от длины (100 - 48 = 52%) Длина х Ширина 0,52х Полупериметр 7,6 : 2 = 3,8 Уравнение 0,52х + х = 3,8 решить уравнение... Найти х (это длина), найти 0,52*х (это ширина), найти площадь. Задача 2. Ширина х Длина х + 3,6 Периметр 2х + 3,6 Ширина составляет 1/7 его периметра. Уравнение: 1/7(2х + 3,6) = х решить уравнение удобно методом перехода к целым числам, для этого обе части надо * Получим 2х + 3,6 = 7х решить уравнение... Найти х (это ширина), найти х + 3,6 (это длина), найти площадь
4,6(42 оценок)
Ответ:
№ 1
а) Пусть М - событие, заключающееся в том, что только двумя производствами будет своевременно выполнено задание.  
Число всех равновозможных исходов равно 3.
Число благоприятных исходов для события М равно 2.

Вероятность события М равна отношению числа благоприятных для него исходов испытания к числу всех равновозможных исходов:
Р(М) = 2/3
ответ: 2/3

б) Пусть Т - событие, заключающееся в том, что хотя бы одним производством будет своевременно выполнено задание.  
Число всех равновозможных исходов равно 3.
Число благоприятных исходов для события Т равно 1.

Вероятность события М равна отношению числа благоприятных для него исходов испытания к числу всех равновозможных исходов:
Р(Т) = 1/3.
ответ: 1/3.

№ 2
Пусть В - событие, заключающееся в том, что получится слово МАМА.
Число всех равновозможных исходов равно числу размещений из шести элементов по четыре: 6 * 5 * 4 * 3 = 360

Число благоприятных исходов для события В равно 1.

Вероятность события В равна отношению числа благоприятных для него исходов испытания к числу всех равновозможных исходов:
Р(В) = 1/360.
ответ: 1/360
4,4(85 оценок)
Это интересно:
logo
Вход Регистрация
Что ты хочешь узнать?
Спроси Mozg
Открыть лучший ответ