М
Молодежь
К
Компьютеры-и-электроника
Д
Дом-и-сад
С
Стиль-и-уход-за-собой
П
Праздники-и-традиции
Т
Транспорт
П
Путешествия
С
Семейная-жизнь
Ф
Философия-и-религия
Б
Без категории
М
Мир-работы
Х
Хобби-и-рукоделие
И
Искусство-и-развлечения
В
Взаимоотношения
З
Здоровье
К
Кулинария-и-гостеприимство
Ф
Финансы-и-бизнес
П
Питомцы-и-животные
О
Образование
О
Образование-и-коммуникации
marina19761
marina19761
19.05.2023 08:25 •  Математика

Смешав 65-процентный и 85-процентный растворы кислоты и добавив 10 кг. чистой воды, получили 43-процентный раствор кислоты. если бы вместо 10 кг. воды добавили 10 кг. 50-процентного раствора той же кислоты, то получили бы 63-процентный раствор кислоты. сколько килограммов 65-процентного раствора использовали для получения смеси?

👇
Ответ:
ляляля06
ляляля06
19.05.2023
Х кг - 65% р-ра, у кг - 85% р-ра. Читой кислоты в первом 0,65 х кг, во втором 0,85у кг. При добавлении 10 кг воды новый р-р по массе равен (х+у+10) кг, чистой кислоты в нем 0,43(х+у+10) кг.
При добавлении 10 кг 50% р-ра чистой кислоты в р-ре станет 0,63(х+у+10) кг. Это же кол-во равно 10кг*50%=5кг.
Получим систему уравнений:
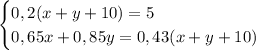
\begin{cases} 0,65x+0,85y=0,43(x+y+10) \\ 0,65x+0,85y+5=0,63(x+y+10) \end{cases}
Вычитаем из второго первое
\begin{cases} 0,2(x+y+10)=5 \\ 0,65x+0,85y=0,43(x+y+10) \end{cases}
\begin{cases} x+y=15 \\ 65x+85y=1075 \end{cases} \ \textless \ =\ \textgreater \ \begin{cases} x+y=15 \\ 13x+17y=215 \end{cases} \ \textless \ =\ \textgreater \ \\ \begin{cases} 13x+13y=195 \\ 13x+17y=215 \end{cases} \ \textless \ =\ \textgreater \ \begin{cases} y=5 \\ x=10 \end{cases}
ответ 10 кг 65%-го р-ра.
4,6(70 оценок)
Открыть все ответы
Ответ:
umsynaiamirova
umsynaiamirova
19.05.2023

1698

Пошаговое объяснение:

Пусть число имеет вид abcd. Если d<8, то сумма цифр в новом числе будет на 2 больше, чем в исходном, и обе они не могут делиться на 8. Значит , d>8. Рассмотрим теперь 3 случая:

1) abcd, c<9. Число перейдёт в ab(c+1)(d-8), сумма изменится на 7.

2) ab9d, b<9. Число перейдёт в a(b+1)0(d-8), сумма изменится на 16.

3) a99d. Число перейдёт в (a+1)00(d-8), сумма изменится на 25.

 

Итак, нам подходят числа вида ab9d, b<9,d>8. Так как число наименьшее, несложно его найти: 1698.

4,6(69 оценок)
Ответ:
DanilДюжик
DanilДюжик
19.05.2023
Перші рослини, які появляються внаслідок весняних змін, називають ранньоквітучими. До них відносяться підбіл звичайний або мати-й-мачуха. Пізніше квітнуть пролісок, підсніжник, анемона, кульбаба, медунка, сон, калюжниця, жовтяниця, первоцвіт... Листки цих рослин накопичують протягом літа й осені органічні речовини, а навесні переносять їх у корені і створюють умови для того, щоб квіткові пагони з’являлися рано навесні.І ось, на кущах і деревах тріскаються бруньки і появляються перші листочки. Однією з перших зеленіє черемха, а потім тополя. Під кінець весни всі дерева та кущі вкриваються листочками і цвітом.На початку літа, починають з’являтися квітучі трави, зацвітає ромашка, дзвоники, малина та журавлина. Розсіваються плоди тополі та в’яза. Зацвітають у водоймах жовті глечики, а в садах – жасмин. Кожен день квітне якась нова рослина, дозрівати починає суниця. Потім починається жарка пора, зацвітає липа. Бджоли злітаються на запах липи і збирають запашний та солодкий нектар. Починають цвісти трав’янисті рослини, дозрівають плоди вишні, малини, ягоди смородини, черемхи, агрусу, розкидає насіння жовта акація.Під кінець літа масово дозрівають насіння й плоди. Листя липи починає жовтіти, а в берези – осипатись. В лісі починають дозрівати горіхи. На початку осені листки на деревах починають змінювати своє забарвлення, з’являються перші заморозки на грунті. В’яз, черемха, клен, липа, осика, ясен, ліщина починають втрачати своє вбрання, потім до них приєднується калина, горобина, бузина, вільха, верба... Листопад рятує дерева від ламання гілок, висихання, через листки рослина виводить непотрібні їй речовини.23 вересня день починає дорівнювати ночі, а потім його тривалість поступово зменшується. Сонце ще яскраво світить, але вже не гріє. Проте в цей період можна гати цвітіння трав’янистих трав: конюшина, ромашка, кульбаба, волошка, а також повторне цвітіння калини, горобини, білої акації, яблуні, груші... Це пов’язано з настаням бабиного літа, коли бруньки починають рости і починається ще один цикл розвитку. Селекціонери використовують це явище для виведення нових сортів рослин.До початку зими рослини добре підготовлені: під корою кущів та дерев утворюється міцний корковий шар, який їх уберігає від коливання температур та випаровування, листя опало а бруньки сховані під товстими лусочками. Здатність бруньок і насіння впадати в глибокий спокій дає можливість їм перенести зимові морози. 
4,8(4 оценок)
Это интересно:
Новые ответы от MOGZ: Математика
logo
Вход Регистрация
Что ты хочешь узнать?
Спроси Mozg
Открыть лучший ответ