М
Молодежь
К
Компьютеры-и-электроника
Д
Дом-и-сад
С
Стиль-и-уход-за-собой
П
Праздники-и-традиции
Т
Транспорт
П
Путешествия
С
Семейная-жизнь
Ф
Философия-и-религия
Б
Без категории
М
Мир-работы
Х
Хобби-и-рукоделие
И
Искусство-и-развлечения
В
Взаимоотношения
З
Здоровье
К
Кулинария-и-гостеприимство
Ф
Финансы-и-бизнес
П
Питомцы-и-животные
О
Образование
О
Образование-и-коммуникации
kenzhe1
kenzhe1
27.09.2020 10:51 •  Математика

Вавтобусному парку налічується n автобусів, шосту частину яких було обладнано інформаційними табло. пізніше інформаційні табло встановили ще на 2 автобуси з наявних у парку. після проведеного переобладнання навмання вибирають один з n автобусів парку. ймовірність того, що це буде автобус з інформаційним табло, становить 0,25. визначте n. вважайте, що кожен автобус обладнується лише одним табло.

👇
Ответ:
Женя220V
Женя220V
27.09.2020
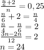
Всего оборудовано \frac n6+2 автобусов. Вероятность того, что выбранный автобус оборудован табло, равна P(A)=\frac{\frac n6+2}n. По условию вероятность равна 0,25.
\frac{\frac n6+2}n=0,25\\\frac n6+2=\frac n4\\\frac n4-\frac n6=2\\\frac{3n-2n}{12}=2\\n=24
4,4(91 оценок)
Открыть все ответы
Ответ:
Шишкин555
Шишкин555
27.09.2020
1)Первый в мире групповой космический полёт на кораблях "Восток-3" и "Восток-4" совершили в 1962 году А.Г.Николаев и П.Р.Попович.
2)Первой в мире женщиной,которая совершила полёт в космос,стала В.В.Терешкова. (В 1963 году на корабле "Восток-6").
3)Первый в мире многоместный корабль "Восход" поднялся на околоземную орбиту в 1964 году. На его борту находились три человека: командир корабля В.М.Комаров,врач Б.Б.Егоров и учёный К.П.Феоктистов. 
4)Первым в мире вышел в открытое космическое пространство А.А. Леонов. 
4,5(1 оценок)
Ответ:
толян50
толян50
27.09.2020
Конец 30-х гг ХХ века характеризовался укреплением в мире двух тоталитарных режимов: фашистского в Германии и советского в СССР. Угроза возникновения войны, явно исходившая от Германии, была велика. Начиная с середины 30-х гг., СССР, исходя из своих геополитических интересов, вступает в переговоры с немецким руководством и договаривается о разделе сфер влияния, подписывает так называемый пакт Молотова-Риббентропа. Официально в прессе это все подается как подписание договора о ненападении, а реально (и об этом писала зарубежная пресса) это был своеобразный “раздел Европы”. СССР получил от Германии согласие на захват Прибалтики, Бессарабии и западных районов Беларуси и Украины. А Германия фактически заручилась обещанием СССР не вмешиваться в захватнические планы фашистов в Европе.Период 1935-1941 гг. был необычным в истории развития нашей журналистики. Официальная печать пропагандировала дружеские отношения с Германией, ей запрещалась критика руководства и политики этой страны. С другой стороны, на страницах газет велась военно-патриотическая пропаганда, писалось о необходимости быть бдительными, быть готовыми в любой момент встать на защиту Родины. Многие публикации внушали читателям мысль о несокрушимой мощи и исключительной боевой готовности Красной Армии.Реально же армия требовала технического перевооружения, но провести его было сложно из-за экономических трудностей и кадровых чисток (многие образованные военачальники были репрессированы). Политические просчеты Сталина, уверенного в своей безошибочности и прозорливости, нежелание руководства видеть и слышать реальные факты, говорившие о готовящемся нападении Германии на СССР, отсутствие свободы прессы обсуждать и анализировать происходящие в стране и в мире процессы, привели к тому, что государство оказалось абсолютно не готовым к войне, которая началась в июне 1941 г. и была названа Великой Отечественной. Это привело к большим жертвам и огромной цене завоеванной победы.И советская пресса была тем инструментом, который убеждал, вдохновлял людей на подвиг, на самопожертвование, на преодоление неимоверных трудностей. На службу этой идеологической задаче были поставлены лучшие журналистские и писательские силы, они талантливо, горячо и искренне писали о подвигах и геройстве солдат, о трудностях и мужестве людей, об их стойкости и любви к Родине. И сами журналисты, особенно фотокорреспонденты и кинооператоры, часто рисковали жизнью, чтобы выполнить задание редакции; случалось, что и погибали.
4,6(35 оценок)
Новые ответы от MOGZ: Математика
logo
Вход Регистрация
Что ты хочешь узнать?
Спроси Mozg
Открыть лучший ответ