М
Молодежь
К
Компьютеры-и-электроника
Д
Дом-и-сад
С
Стиль-и-уход-за-собой
П
Праздники-и-традиции
Т
Транспорт
П
Путешествия
С
Семейная-жизнь
Ф
Философия-и-религия
Б
Без категории
М
Мир-работы
Х
Хобби-и-рукоделие
И
Искусство-и-развлечения
В
Взаимоотношения
З
Здоровье
К
Кулинария-и-гостеприимство
Ф
Финансы-и-бизнес
П
Питомцы-и-животные
О
Образование
О
Образование-и-коммуникации
балнур6
балнур6
21.10.2020 23:49 •  Математика

Решить ! ! три студента получили стипендию.первый получил 0.9 той суммы,которую поучил второй,да еще 64 руб.,а третий студент получил 0.9 той суммы,которую получил второй,да еще 29 руб.сколько денег получил каждый студент,если известно,что второй и третий получили поровну? заранее ! *-*

👇
Ответ:
несахар1
несахар1
21.10.2020
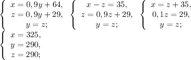
Х руб. - получил первый студент, у руб. - получил второй, z руб. - получил третий.
\left\{\begin{array}{c}x=0,9y+64,\\z=0,9y+29,\\y=z;\end{array}\right. \left\{\begin{array}{c}x-z=35,\\z=0,9z+29,\\y=z;\end{array}\right. \left\{\begin{array}{c}x=z+35,\\0,1z=29,\\y=z;\end{array}\right. \\ \left\{\begin{array}{c}x=325,\\y=290,\\z=290;\end{array}\right.
4,4(66 оценок)
Открыть все ответы
Ответ:
Golpio
Golpio
21.10.2020
ЦАРСКИЙ САЛАТ
Зеленый салат порвать руками. Семгу с/с порезать. Маслины кружками. Св. огурчик кубиками. Креветки сварить и почистить, а кальмары сварить и порезать. Выжать сок лимона и раст. масло. На поверхности положить неб кучками кр.икре . Если слишком дорогой рецепт на другой 
САЛАТ "АКАПУЛЬКО"

Продукты: (на 2 порции)
1 помидор, 1 грейпфрут, 3-4 шампиньона, 4-6 ягод винограда, 2ст. ложки натурального несладкого йогурта, соль, перец по вкусу.

Ягоды винограда разрезать пополам и удалить косточки (если есть) . Грецпфрут тоже разрезать и вынуть мякоть, чтобы из кожуры получилось 2 тарелки.

Дольки грейпфрута очистить от пленок и косточек и мякоть нарезать кубиками.

Помидор нарезать дольками. Шампиньоны помыть очистить от пленки и нарезать мелко (хотя я их все равно варю - не могу есть сырыми) .

Все смешать, посолить, поперчить и заправить йогуртом (или майонезом) и выложить в тарелочки из грейпфрута. Ну и украсить)) )
4,8(63 оценок)
Ответ:
666SmEtAnKa666
666SmEtAnKa666
21.10.2020

Пошаговое объяснение:

244. Пусть 480 га это 100%.

1. Найдем сколько гектаров приходится на 1%.

480 / 100 = 4,8 (га) приходится на 1%.

2. Найдем сколько вспахала бригада за первый день, для этого умножим количество приходящиеся на 1% на число процентов за первый день.

4,8 * 45 = 216 (га) вспахала бригада в первый день.

3. Найдем сколько гектаров вспахала бригада за второй день, для этого из общей площади вычтем площадь вспаханного в первый день.

480 - 216 = 264 (га) вспахано за второй день.

ответ: 264 га.

245.  1) 100%-28%-56%=16%- столько процентов содержится в сплаве никеля

2) 1200 кг составляет 100%  

   Х кг составляет 16%          Х=1200*16/100=192 кг - содержится никеля  в 1200 кг сплава

4,7(11 оценок)
Это интересно:
Новые ответы от MOGZ: Математика
logo
Вход Регистрация
Что ты хочешь узнать?
Спроси Mozg
Открыть лучший ответ