М
Молодежь
К
Компьютеры-и-электроника
Д
Дом-и-сад
С
Стиль-и-уход-за-собой
П
Праздники-и-традиции
Т
Транспорт
П
Путешествия
С
Семейная-жизнь
Ф
Философия-и-религия
Б
Без категории
М
Мир-работы
Х
Хобби-и-рукоделие
И
Искусство-и-развлечения
В
Взаимоотношения
З
Здоровье
К
Кулинария-и-гостеприимство
Ф
Финансы-и-бизнес
П
Питомцы-и-животные
О
Образование
О
Образование-и-коммуникации
ArhangelTYT
ArhangelTYT
12.10.2022 08:22 •  Математика

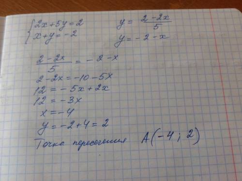
Найдите точки пересечения прямых 2x+5y=2,x+y=-2

👇
Ответ:
eX6ToR
eX6ToR
12.10.2022
Решение смотри в приложении
Найдите точки пересечения прямых 2x+5y=2,x+y=-2
4,4(92 оценок)
Ответ:
Судзуми777
Судзуми777
12.10.2022
Решение:
Так как 2/1 ≠ 5/1, то прямые пересекаются.
Решим систему уравнений и найдём:
2х+5у=2
х+у=-2
Из второго уравнения найдём значение (х) и подставим его значение в первое уравнение:
х=-2-у
2*(-2-у)+5у=2
-4-2у+5у=2
3у=2+4
3у=6
у=6:3
у=2
х=-2-у
х=-2-2
х=-4

ответ: Прямые пересекаются в точке (-4; 2)
4,7(77 оценок)
Открыть все ответы
Ответ:
denian11343
denian11343
12.10.2022
1. Для построения потребуется только циркуль и немного линейка.
Проводим прямую.
Откладываем основание  - 2,5 см = 25 мм.
Делаем раствор циркуля в эти 25 мм и делаем засечки из двух вершин на основании до их пересечения.
2. Здесь потребуется транспортир.
Сумма всех углов треугольника равна 180 град.
Угла при основании 
(180 - 40)/2 = 70°
Проводим основание  -  прямая.
Откладываем от вершины угол = 70° и  проводим сторону АВ.
Откладываем на ней сторону АВ = 50 мм - отмечаем вершину В.
Из вершины В циркулем 50 мм находим вершину С.
4,8(89 оценок)
Ответ:
LIMON4IKBRO
LIMON4IKBRO
12.10.2022
1. Для построения потребуется только циркуль и немного линейка.
Проводим прямую.
Откладываем основание  - 2,5 см = 25 мм.
Делаем раствор циркуля в эти 25 мм и делаем засечки из двух вершин на основании до их пересечения.
2. Здесь потребуется транспортир.
Сумма всех углов треугольника равна 180 град.
Угла при основании 
(180 - 40)/2 = 70°
Проводим основание  -  прямая.
Откладываем от вершины угол = 70° и  проводим сторону АВ.
Откладываем на ней сторону АВ = 50 мм - отмечаем вершину В.
Из вершины В циркулем 50 мм находим вершину С.
4,6(7 оценок)
Это интересно:
Новые ответы от MOGZ: Математика
logo
Вход Регистрация
Что ты хочешь узнать?
Спроси Mozg
Открыть лучший ответ