М
Молодежь
К
Компьютеры-и-электроника
Д
Дом-и-сад
С
Стиль-и-уход-за-собой
П
Праздники-и-традиции
Т
Транспорт
П
Путешествия
С
Семейная-жизнь
Ф
Философия-и-религия
Б
Без категории
М
Мир-работы
Х
Хобби-и-рукоделие
И
Искусство-и-развлечения
В
Взаимоотношения
З
Здоровье
К
Кулинария-и-гостеприимство
Ф
Финансы-и-бизнес
П
Питомцы-и-животные
О
Образование
О
Образование-и-коммуникации
elenazarubina1
elenazarubina1
16.03.2020 11:43 •  Математика

Запишите числа в порядке возрастания! 1/21; -0,21; -21/98; минус две целых одна третья!

👇
Ответ:
Шамшербек
Шамшербек
16.03.2020
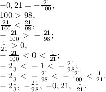
-0,21=-\frac{21}{100}, \\ 100\ \textgreater \ 98, \\ \frac{21}{100}\ \textless \ \frac{21}{98}, \\ -\frac{21}{100}\ \textgreater \ -\frac{21}{98}; \\ \frac{1}{21}\ \textgreater \ 0, \\ -\frac{21}{100}\ \textless \ 0\ \textless \ \frac{1}{21}; \\ -2 \frac{1}{3}\ \textless \ -1\ \textless \ -\frac{21}{98}; \\ -2 \frac{1}{3}\ \textless \ -\frac{21}{98}\ \textless \ -\frac{21}{100}\ \textless \ \frac{1}{21}. \\ -2 \frac{1}{3},\ -\frac{21}{98},\ -0,21,\ \frac{1}{21}.
4,6(22 оценок)
Открыть все ответы
Ответ:
Элника
Элника
16.03.2020
№ 1.
280 : 2 = 140                         350 : 2 = 175
140 : 2 = 70                           175 : 5 = 35
70 : 2 = 35                             35 : 5 = 7
35 : 5 = 7                               7 : 7 = 1
7 : 7 = 1                                 350 = 2 * 5 * 5 * 7
280 = 2 * 2 * 2 * 5 * 7

НСД (280 i 350) = 2 * 5 * 7 = 70 - найбiльший спiльний дiльник
280 : 70 = 4                            350 : 70 = 5

НСК (280 i 350) = 2 * 2 * 2 * 5 * 5 * 7 = 1400 - найменше спiльне кратне
1400 : 280 = 5                        1400 : 350 = 4

№ 2.
Признак делимости на 3: число делится на 3, если сумма его цифр делится на 3
Признак делимости на 10: число делится на 10, если его последняя цифра 0
*32*
Вместо последней зiрочки обязательно 0
1320 : 30 = 44                   (1+3+2=6 кратно 3)         
4320 : 30 = 144                 (4+3+2=9 кратно 3)
7320 : 30 = 244                 (7+3+2=12 кратно 3)
4,8(70 оценок)
Ответ:
BARBARA070704
BARBARA070704
16.03.2020
1 - вся бочка
1/7 часть бочки расходуется при 1 часе работы первого двигателя
1/5 часть бочки расходуется при 1 часе работы второго
1/7*2=2/7 часть бочки израсходуется при 2-х часах работы первого
1/5*3=3/5 часть бочки израсходуется при 3-х часах работы второго
2/7+3/5=10/35+21/35=31/35 часть израсходуется при совместных 2-х часах работы первого и 3-х часах работы второго
1-31/35=35/35-31/35=4/35 (часть)(останется в бочке после работы двух двигателей - 2 часа первый и 3 часа второй)

Если отдельно работали, то:
1-2/7=7/7-2/7=5/7 (часть) (останется в бочке после 2-х часов работы первого)
1-3/5=5/5-3/5=2/5 (часть) (останется в бочке после 3-х часов работы второго)
4,6(46 оценок)
Это интересно:
Новые ответы от MOGZ: Математика
logo
Вход Регистрация
Что ты хочешь узнать?
Спроси Mozg
Открыть лучший ответ