
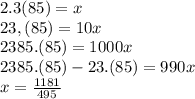
1181/495
Пошаговое объяснение:
2.3(85)= 2+3/10+85/990= (1980+ 297+85)/990=2362/990= 1181/495
1. Вставить безударные гласные:
слетелись с берегов, вылез зверек, вода затопила, появились холмы, грозила зверюшкам, хлопочет в саду, кричат скворцы, резвится ветерок, широкие поля, веселиться в гостях
2. Выполнить синтаксический разбор предложения:
в фотографии
3. Подобрать однокоренные слова к слову давать.
даться, датчик, раздать, отдать
4. Словарная работа. Вставить пропущенные буквы:
сирень, урожай, аллея, картофель, лагерь, народ, солома, помидор, растение, погода, кровать, квартира
5. Подобрать синонимы к слову верный.
1 смысл: надёжный, преданный, испытанный
2 смысл: правильный, подлинный, безошибочный, истинный

