М
Молодежь
К
Компьютеры-и-электроника
Д
Дом-и-сад
С
Стиль-и-уход-за-собой
П
Праздники-и-традиции
Т
Транспорт
П
Путешествия
С
Семейная-жизнь
Ф
Философия-и-религия
Б
Без категории
М
Мир-работы
Х
Хобби-и-рукоделие
И
Искусство-и-развлечения
В
Взаимоотношения
З
Здоровье
К
Кулинария-и-гостеприимство
Ф
Финансы-и-бизнес
П
Питомцы-и-животные
О
Образование
О
Образование-и-коммуникации
katyusha0
katyusha0
30.08.2020 05:13 •  Математика

Найдите область определения и множество значений функции: а)y = 1 + sin x б)y = 8 cos x - 1

👇
Ответ:
BMW535
BMW535
30.08.2020

а) y = 1 + sin x

-1\leq \sin x\leq 1~~~~|+1\\0\leq 1+\sin x\leq 2\\\\\boldsymbol{D(y)=R;~~E(y)=[0;2]}

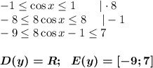
б) y = 8 cos x - 1

-1\leq \cos x\leq 1~~~~~~|\cdot 8\\-8\leq 8\cos x\leq 8~~~~|-1\\-9\leq 8\cos x-1\leq 7\\\\\boldsymbol{D(y)=R;~~E(y)=[-9;7]}

4,6(17 оценок)
Открыть все ответы
Ответ:
Vanita111106
Vanita111106
30.08.2020
1.выезжал дородный добрый молодец и к обеденке поспеть хотел он в стольный Киев-град.
2.у того ли города чернигова нагнано силушки черным-черно. ай побил он эту силу всю великую.
3. сидит соловей разбойник во сыром дубу. сидит соловей разбойник одихманьтев сын
4.ай тут старый казак илья муромец ему выбил право око с окосицею. мимо гнездышка повез да соловьиного.
5.Зовут-то мужика да деревеньщину во то гнеэдышко да соловьиное. да мужик то деревеньщина не слушался.
6.он приехал то во славный стольнай киев-град. говорил ему илья да таковы слова: Ты владмир княз да стольнокиевский! соловей разбойник на твоем дворе.
7.засвистал тут соловей да по соловьему. ай тут старый казак да илья муромец, он скорёшенько садился на добра коня. и он вез-то соловья да во чисто поле, и онему да буйну голову. .
4,7(81 оценок)
Ответ:
MRLamaKing
MRLamaKing
30.08.2020
Просто план-
1-Отъезд Ильи Муромца из Мурома в Киев.
2-Победа в первом бою.
3-Рассказ черниговцев о Соловье-разбойнике.
4-Встреча с соловьем-разбойником.
5-Победа Ильи муромца.
6-Гнездо Соловья-разбойника.
7-Встреча Ильи Муромца.
8-Сомнения князя Владимира.
9-Два приказа Соловью-разбойнику.
10-Расправа с Соловьем-разбойником.
план цитатами-
1. Из того ли-то из города из Муромля,
Из того села да с Карачирова,
Выезжал удаленькой дородний добрый молодец
2. У того ли города Чернигова...
Он как стал-то эту силу великую,
Стал конём топтать да копьём колоть,
А й побил он эту силу великую.
3. Прямоезжая дорожка заколодела,
Заколодела дорожка, замуравела,
4. Засвистал-то Соловей да й по-соловьему,
Закричал злодей-разбойник по-звериному,
4,4(67 оценок)
Это интересно:
Новые ответы от MOGZ: Математика
logo
Вход Регистрация
Что ты хочешь узнать?
Спроси Mozg
Открыть лучший ответ