1)
а) 4/9 х 3/22 = 2/33
б) 5ц5/7 х 4ц1/5 = 40/7 х 21/5 = 8 х 3 = 24
в) 25/48 х 7ц1/5 х 4ц2/3 = 25/48 х 36/5 х 14/3 = 15/4 х 14/3 = 35/2 = 17ц1/2
2)
1) 1080 : 36 х 13 =390 (т) - картофеля отправлено в первый день
2) 1080 - 390 = 690 (т) - остаток
3) 690 : 100 х 40 = 276 (т)
ответ: 276 т картофеля отправили во второй магазин.
3)
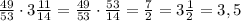
49/53(8ц 1/14 - 1ц7/8 х 2ц2/7)= 3,5
1) 1ц7/8 х 2ц2/7 = 15/8 х 16/7 = 30/7
2) 8ц1/14 - 30/7 = 113/14 - 30/7 = 53/14
3) 49/53 х 53/14 = 7/2 = 3,5
4)
Пусть задуманное число х, тогда
5ц7/12 - (х : 4ц2/5)
5)
7ц5/6 + 2ц7/15 = 235/30 + 74/30 = 309/30 = 9ц 39/30
Уточните задание. Где в этом выражении х? МОЖЕТ ЕГО НАДО УМНОДИТЬ НА Х?
Если да, то
50/309 х 309/30 = 5/3 = 1ц2/3
а)
б)
в)
2) Было - 1 080 т
I день -
всего картофеля
II день - 40% остатка
1)
(т) - картофеля отправлено в первый день.
2) 1 080-390=690 (т) - остаток.
3) 690·0,4=276 (т)
ответ: 276 тонн картофеля отправили во второй день.
3)
1)
2)
3)
4) Допустим, что задуманное (неизвестное) число - это х, тогда
согласно данным условия задачи можно составить уравнение:
5)