М
Молодежь
К
Компьютеры-и-электроника
Д
Дом-и-сад
С
Стиль-и-уход-за-собой
П
Праздники-и-традиции
Т
Транспорт
П
Путешествия
С
Семейная-жизнь
Ф
Философия-и-религия
Б
Без категории
М
Мир-работы
Х
Хобби-и-рукоделие
И
Искусство-и-развлечения
В
Взаимоотношения
З
Здоровье
К
Кулинария-и-гостеприимство
Ф
Финансы-и-бизнес
П
Питомцы-и-животные
О
Образование
О
Образование-и-коммуникации

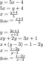
Для функции найти обратную: y=5x-4, y=(3x+1)/(x+2)

👇
Ответ:
y=5x-4\\5x=y+4\\x=\frac{y+4}{5}\\y_{obr}=\frac{x+4}{5}\\\\y=\frac{3x+1}{x+2}\\xy+2y=3x+1\\x*(y-3)=1-2y\\x=\frac{1-2y}{y-3}\\y_{obr}=\frac{1-2x}{x-3}
4,5(46 оценок)
Ответ:
джон7777
джон7777
16.11.2021
1)y=5x-4
x=5y-4
5y=x+4
y=(x+4)/5=0,2x+0,8
2)y=(3x+1)/(x+2)
x=(3y+1)/(y+2)
3y+1=xy+2x
3y-xy=2x-1
y(3-x)=2x-1
y=(2x-1)/(3-x)
4,7(42 оценок)
Открыть все ответы
Ответ:
Thrillgang
Thrillgang
16.11.2021

4                                                                                                                                               6 м 9 дм - 690см, 69дм 609см 45 мм - 66135мм, 623см 5 мм, 4 м 6 мм - 406 мм                                                                                                                                         5                                                                                                                                      Р= (300+60)*2=720м                                                                                                            Р =720 м

4,6(48 оценок)
Ответ:
markthebest95
markthebest95
16.11.2021

на 7:Число делится на 7 тогда, когда результат вычитания удвоенной последней цифры из этого числа без последней цифры делится на 7 (например, 343 делится на 7, так как 34-(2·3)=34-6=28 делится на 7)


на 11:На 11 делятся только те числа, у которых сумма цифр, занимающих нечетные места, либо равна сумме цифр, занимающих четные места, либо разнится от нее на число, делящееся на 11.

Примеры.

Число 103785 делится на 11, так как сумма цифр, занимающих нечетные места, 1+3+8=12 равна сумме цифр, занимающих четные места 0+7+5=12.

Число 9163627 делится на 11, так как сумма цифр, занимающих нечетные места, есть 9 + 6 + 6 + 7 = 28, а сумма цифр, занимающих четные места, есть 1 + 3 +2 =6; разность между числами 28 и 6 есть 22, а это число делится на 11.

4,6(27 оценок)
Новые ответы от MOGZ: Математика
logo
Вход Регистрация
Что ты хочешь узнать?
Спроси Mozg
Открыть лучший ответ