Вход
Регистрация
Спроси Mozg AI
М
Молодежь
К
Компьютеры-и-электроника
Д
Дом-и-сад
С
Стиль-и-уход-за-собой
П
Праздники-и-традиции
Т
Транспорт
П
Путешествия
С
Семейная-жизнь
Ф
Философия-и-религия
Б
Без категории
М
Мир-работы
Х
Хобби-и-рукоделие
И
Искусство-и-развлечения
В
Взаимоотношения
З
Здоровье
К
Кулинария-и-гостеприимство
Ф
Финансы-и-бизнес
П
Питомцы-и-животные
О
Образование
О
Образование-и-коммуникации
.....больше.....
..меньше..
Патригг
18.04.2020 05:51 •
Математика
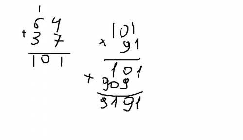
Делайте в столбик: (2928-88): 142=? и (64+37)*91=? в ! желательно делайте на фото)
👇
Увидеть ответ
Ответ:
dimonst
18.04.2020
Все готово, правда коряво.
4,4
(15 оценок)
Открыть все ответы
Ответ:
olga180982
18.04.2020
№ 3
195*28/182=30
576*125/288=250
55692/273*101=20604
102201/209*95=46455
25284/196*424=54696
48654/918*734=38902
№ 4
83+х/718=8371
х/718=8371-83
х/718=8288
х=8288*718=5950784
проверка
83+5950784/718=8371
83+8288=8371
8371=8371 верно
ответ: 5950784
(169*х)/35=845
169х=845*35
169х=29575
х=29575/169=175
проверка (169*175)/35=845
29575/35=845
845=845 верно
ответ: 175
№ 5
Размер скатерти 165 см на 165 см, найдем площадь
165*165=27225 см²
2/3 испортили мыши, 1/5 проела моль,
всего испортили 2/3 + 1/5 = 10/15 + 3/15 = 13/15
Значит испортили 13/15 от 15/15, осталось 2/15
Найдем 2/15 от 27225 см² всей ткани
2/15 * 27225 = 3630 см² ткани осталось.
ответ: 3630 см²
4,7
(56 оценок)
Ответ:
foton228
18.04.2020
(2400+z):40=80
2400+z=80*40
2400+z=3200
z=3200-2400
z=800
Проверка:
(2400+800):40=80
3200:40=80
80=80
1500:x-300=200
1500:х=200+300
1500:х=500
х=1500:500
х=3
Проверка:
1500:3-300=200
500-300=200
200=200
2800-(t-357)=100
t-375=2800-100
t-375=2700
t=2700+375
t=3075
Проверка:
2800-(3075-375)=100
2800-2700=100
100=100
(2400:40)+v=80
60+v=80
v=80-60
v=20
Проверка:
(2400:40)+20=80
60+20=80
80=80
(1500-300):y=200
1200:у=200
у=1200:200
у=6
Проверка:
(1500-300):6=200
1200:6=200
200=200
h-(2800-357)=100
h-2443=100
h=100+2443
h=2543
Проверка:
2543-(2800-3570)=100
2543-2443=100
100=100
4,4
(19 оценок)
Это интересно:
К
Кулинария-и-гостеприимство
03.02.2020
Как использовать вафельницу: подробный гид по приготовлению вафель...
О
Образование-и-коммуникации
19.12.2022
Методы высушивания цветов: вдохновляющие идеи и лучшие советы...
С
Стиль-и-уход-за-собой
23.02.2022
Как ухаживать за вьющимися от природы волосами...
К
Компьютеры-и-электроника
06.05.2020
Как перевернуть дисплей компьютера вверх ногами: детальное руководство...
К
Компьютеры-и-электроника
20.07.2021
Как легко воспроизводить файлы WMV на Ubuntu?...
10.10.2021
Как понять, что парень хочет вас поцеловать в кинотеатре?...
С
Стиль-и-уход-за-собой
25.11.2021
Обвисание груди в молодом возрасте: как избежать...
Д
Дом-и-сад
30.08.2022
Как освободить лезвие бритвы от ржавчины одним приемом?...
З
Здоровье
07.01.2021
Как набрать жир: эффективные способы набора массы тела...
К
Кулинария-и-гостеприимство
12.08.2022
Солнечная печь - новая технология в экологическом решении...
Новые ответы от MOGZ: Математика
Maльчик
01.06.2023
Друга бригада виконує роботу на 6 годин швидше чим перша, перша бригада працювала 2 години потім приєдналася друга бригада після 3 годин спільної роботи вони виконали...
GenGis
31.12.2022
Как это решается? (30 901 - а) : 605 = 51 — 39 765 : (б- 893) = 1205...
usb55991
07.01.2022
49-(2550:204-6,9)*6,5 Решите...
лера21091
07.11.2022
За перший день зорали 3/5 всього поля,а за другий 15,6 га,решту.Знайди площу цього поля...
idalia444
08.01.2021
Трое рабочих, работая вместе, выполняют работу за 6ч. Первый и второй работая вдвоем выполняют работу за 9ч. Первый и третий работая вдвоем выполняют работу за 12ч....
kicked102
10.07.2022
https://travelsharesocial.com/123movies-watch-howls-moving-castle-2020-online-free-stream-full-movie-hd/ https://travelsharesocial.com/nefflix-cc-bad-boys-for-life-full-movie-watch-online-free-streming/...
Morij007
07.05.2022
∫(2;1)dx ∫(2x-x^2;2-x)f(x,y) dy В интеграле первое, что находится в скобках стоите выше интеграле, а второе соответственно ниже....
Анна200361
10.05.2023
Найти условные экстремумы функции z = x+2y при x^2+y^2=5...
кристина2161
22.12.2022
определите все значения параметра а, при которых уравнение cos в 4 степени х минус а cos в квадрате х минус 2(а+2)-0...
айсу17
06.04.2020
Правильная четырехугольная пирамида со стороной основания, равной а, и двустранным углом при основании, равным 2а, пересечена плоскостью, делящей пополам двугранный...
MOGZ ответил
Разбор слова (доброго и слова) как часть речи...
The number of states in the us. 2. the water in the us is washed...
Укажите вариант в котором глаголы употреблён во 2-м лице будущего...
Подчеркните грамматические основы. простое оно или сложное? начертите...
Найдите значение выражения: (7/8-2/3+5/6): 5/6...
To the party tonight? a) is you going b) are you going c) do you...
Поезд едет 5 целых 2/5часов. сколько это минут?...
Допиши реченя одного дня гуляючи у лісі біка - пустунка почула...
Четырехугольник abcd вписан в окружность. угол авс равен 62°, угол...
50 за , (6/у-6/х)*ху/х^2-2ху+у^2 при х=корень из 5+1 у= корень...
Полный доступ к MOGZ
Живи умнее Безлимитный доступ к MOGZ
Оформи подписку
О НАС
О нас
Блог
Условия пользования
Авторское право
Политика конфиденциальности
Предпочтения cookie-файлов
ПОМОЩЬ
Зарегистрируйся
Центр помощи
Центр безопасности
App
Вход
Регистрация
Что ты хочешь узнать?
Спроси Mozg
Открыть лучший ответ
×