

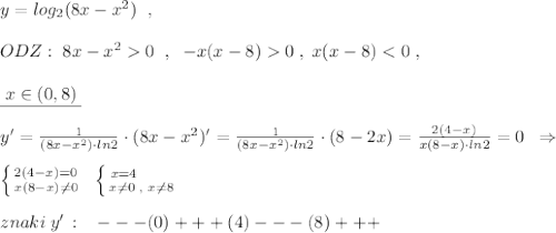
здесь все решается по теореме пифагора и свойству прямого треугольника: если один из его углов 30°, то катет напротив него равен половине гипотенузы.
1) имеем угол в 30°, следовательно с = 2 × 2 = 4
d считаем по теореме пифагора
2² + d² = 4²
d² = 12; d = 2 × корень из трех
2) сумма углов треугольника всегда равна 180°, таким образом находим неизвестный угол: 180 - 90 - 60 = 30° и применяем соответствующее свойство
f = 8 ÷ 2 = 4
а с по теореме пифагора
4² + с² = 8²
с² = 48; с = 4 × корень из трех
3) здесь составляем уравнение
g² + 6² = h²
h = 2g
и при решении получаем что g = 2 × корень из трех, а h = 4 × корень из трех
4) здесь ситуация идентична с третьей картинкой, но методом исключения можно просто выбрать оставшийся вариант (если нужно решение, опирайтесь на номер 3)
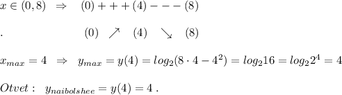
В 1969 году группой советских учёных под руководством археолога Кемаля Акишевича Акишева был обнаружен уникальный археологический комплекс иссыкского могильника. Курган Иссык входит в комплекс могильника, расположенного на левом берегу горной реки Иссык, рядом с городом Иссык, в 50-ти километрах восточнее г. Алма-Аты. Могильник состоит из 45 больших царских курганов диаметром от 30 до 90 и высотой от 4 до 15 метров. «Курган Иссык» располагался в западной половине могильника. Его диаметр 60 метров, высота — 6 метров. После сноса насыпи, на глубине 1,2 метра от уровня древнего горизонта были обнаружены два захоронения: центральное и боковое (южное).
Центральное было неоднократно ограблено. Боковая могила оказалась не потревоженной, захоронение и погребенный инвентарь сохранились полностью. Погребальная камера была сооружена из обработанных бревен ели. В северной половине были обнаружены останки погребенного. В погребальной камере было найдено свыше 4 тысяч золотых предметов, железные меч и кинжал, бронзовое зеркало, глиняные, металлические и деревянные сосуды.Всего в Казахстане, в результате археологических раскопок, было найдено пять захоронений с так называемым «золотым человеком»: второй «золотой человек» найден в Кургане Аралтобе, третий в Шиликтинском кургане Байгетобе, четвёртый под Нур-Султаном и пятый «золотой человек» найден в могильнике Талды Каркаралинского ...В начале 70-х годов века в окрестностях Алматы произошла самая настоящая археологическая сенсация: в ходе раскопок кургана Иссык был обнаружен золотой человек, ставший впоследствии символом Казахстана.
Курган исследовал известный ученый, основатель Казахстанской археологической школы профессор Кималь Акишев. Реконструкция расшитой золотыми бляшками одежды и головного убора, захороненного в кургане сакского царя, явила миру из глубины веков образ древнего правителя, которого назвали «казахским Тутанхамоном», а само открытие объявили находкой века. Детали, украшавшие его корону — крылатые кони-тулпары, — стали частью национального герба Республики Казахстан, а скульптура Золотого человека установлена на площади Независимости в Алматы.Костюм Золотого человека был сделан из красной замши. К моменту, когда археологи нашли захоронение, в нём остались только золотые доспехи, украшения и посуда.С левой стороны черепа была обнаружена золотая серьга, украшенная зернью и подвесками из бирюзы
можно предложить.