М
Молодежь
К
Компьютеры-и-электроника
Д
Дом-и-сад
С
Стиль-и-уход-за-собой
П
Праздники-и-традиции
Т
Транспорт
П
Путешествия
С
Семейная-жизнь
Ф
Философия-и-религия
Б
Без категории
М
Мир-работы
Х
Хобби-и-рукоделие
И
Искусство-и-развлечения
В
Взаимоотношения
З
Здоровье
К
Кулинария-и-гостеприимство
Ф
Финансы-и-бизнес
П
Питомцы-и-животные
О
Образование
О
Образование-и-коммуникации
PooКякя
PooКякя
06.11.2020 11:26 •  Математика

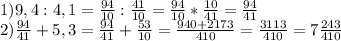
9,4÷4,1+5,3 найдите значение выражения

👇
Ответ:
Egor4ik42
Egor4ik42
06.11.2020
1)9,4:4,1= \frac{94}{10} : \frac{41}{10} = \frac{94}{10}* \frac{10}{41}= \frac{94}{41} \\ 2)\frac{94}{41}+5,3= \frac{94}{41}+ \frac{53}{10}= \frac{940+2173}{410} = \frac{3113}{410}=7 \frac{243}{410}
4,6(39 оценок)
Открыть все ответы
Ответ:
7777kiti
7777kiti
06.11.2020

1.А) Уравнением называется равенство, содержащее одно или несколько неизвестных, значение которых необходимо найти.

2. верный ответ Значение переменной, при котором уравнение обращается в верное  равенство.

среди предложенных не нашел.

3. линейным называют уравнение, в котором переменная /или переменные/ входят в первой степени, не равны нулю. можем еще так сказать

это уравнение вида ах+b=c

ax+by=c , где a, b, c - некоторые числа, х и у -переменные. причем а≠0, если речь об уравнении с двумя переменными, то а≠0;b≠0.

4. квадратное - это уравнение вида ах²+bx+c=0, где а,b,с - некоторые числа, причем а≠0, х и у-переменные.

5. Неравенство вида ах+b<0 (ах+b≤0, ах+b>0, ах+b≥0).где а≠0.

6. А) Уравнение имеет два равных действительных корня. но при условии, что решаем уравнение в области действительных чисел. иначе ответ Е.

7. А) Уравнение имеет два различных действительных корня. если речь о решении кв. уравнения в области действительных чисел.

иначе ответ Е.

8. А) Уравнение не имеет действительных корней.

9.D=b²-4ас

10. А) Уравнения, имеющие одно и то же множество решений

11. 7х-8=2х-3⇒А)х=1

12. 3-4х=5+8х⇒12х=-2, х=-1/6, верного ответа нет.

13. 7-х=-4+10х; х=1

14. 4х-4=6+3х⇒А)х=10

15. А) -0.5

16. 7-3х-3=х-1⇒А)1.25

17. -15+3х=2х-19⇒А)-4

18. 3-2х<5-3х⇒А) x<2

19. 5х+6>3х-2⇒А) x>-4

20. 3х-5≥23-4х⇒А) x≥4

21. По Виету А) 4;-2

22. 3х²-2х-1=0−1

здесь два ответа . ноль и 2/3

23. у=х+1 целая прямая ответов. подходят А, С,

24.-  нет системы

25.аналогично.

26. аналогично

27 нет

28. 10х²-х+1=0  А) Не имеет действительных корней

29 нет уравнения

30нет неравенства. но больше половины, как требуют правила, я решил вам.

bb

4,4(66 оценок)
Ответ:
wjp39391
wjp39391
06.11.2020

мынандай өтініштер мен шарттардың бланкілері телекоммуникация орталығы мемлекеттік сатып алулар жоспары жеткізушілер тізілімі жеткізушілер тізілімі жеткізушілер тізілімі жеткізушілер тізілімі жеткізушілер тізілімі жеткізушілер тізілімі жеткізушілер үшін ақпарат егу картасы анықтама жүйесі бойынша монетарлық шолу әлеуметтік нысандардың құрылысы тұрғын үйді бөлу әлеуметтік бағдарламалар бөлімі кәсіпкерлік бөлімі қаржы бөлімі құрылыс бөлімі мәдениет және тілдерді дамыту бөлімі қаржы бөлімі құрылыс бөлімі мәдениет және тілдерді

4,5(37 оценок)
Новые ответы от MOGZ: Математика
logo
Вход Регистрация
Что ты хочешь узнать?
Спроси Mozg
Открыть лучший ответ