М
Молодежь
К
Компьютеры-и-электроника
Д
Дом-и-сад
С
Стиль-и-уход-за-собой
П
Праздники-и-традиции
Т
Транспорт
П
Путешествия
С
Семейная-жизнь
Ф
Философия-и-религия
Б
Без категории
М
Мир-работы
Х
Хобби-и-рукоделие
И
Искусство-и-развлечения
В
Взаимоотношения
З
Здоровье
К
Кулинария-и-гостеприимство
Ф
Финансы-и-бизнес
П
Питомцы-и-животные
О
Образование
О
Образование-и-коммуникации
dikozzz
dikozzz
03.08.2020 10:18 •  Математика

Вычислить определенные интервалв

👇
Ответ:
lalala89
lalala89
03.08.2020

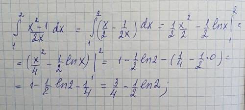
решение задания смотри на фотографии


Вычислить определенные интервалв
4,4(26 оценок)
Открыть все ответы
Ответ:
ezubarew2012p013cv
ezubarew2012p013cv
03.08.2020
1. диагонали ромба равны 18 см и 80 см. найти периметр ромба.

НАЙДЕМ СТОРОНУ РОМБА:
a²=(18/2)²+(80/2)²=81+1600=1681=41² ;  a=41;   P=4·a=4·41=164

2. в равнобедренном треугольнике АВС(основание АС) боковая сторона=25 см, а высота СК=24 см. найти основание.
b=2√(25²-24²)=2√[(25-24)(25+24)]=2·7=14

3. в прямоугольной трапеции боковые стороны 12 см и 20 см, меньшая диагональ 13 см. найти основаниЯ трапеции.
A              B
                             DB=13   AD=12   BC=20  
I            / I \                        основания трапеции -  AB , DC
I         /    I   \
I       /            \                        AB²=BD²-AD²=13²-12²=5²      AB=5
I    /         I       \
I  /           I         \
DH  С         DC=DH+HC,  DH=AB, BH=AD  
                                                               
                                            HC =√(BC²-BH²)=√(20²-12²)=√(8·32)=16

AB=5    DC=5+16=21,
4,8(66 оценок)
Ответ:
aslanəz
aslanəz
03.08.2020

1/30+1/9+1/3

Пошаговое объяснение:

Для того, чтобы представить обыкновенную дробь 43/90 в виде суммы трех дробей, у каждой из которой числитель равен 1, заметим, что числитель каждой из этих дробей должен был равен единице либо при сокращение давал нам единицу.  

Догадаемся что нужно 43 представить как сумму трех делителей числа 90, тогда можно будет сократить числитель и знаменатель всех 3 дробей на числитель.

К примеру это можно сделать так : 43/90 = 3/90 + 10/90 + 30/90 = сокращаем первую дробь на 3, вторую - на 10, третью - на 30 = 1/30 + 1/9 + 1/3. ответ: 43/90 = 1/30 + 1/9 + 1/3.

4,4(78 оценок)
Это интересно:
Новые ответы от MOGZ: Математика
logo
Вход Регистрация
Что ты хочешь узнать?
Спроси Mozg
Открыть лучший ответ