М
Молодежь
К
Компьютеры-и-электроника
Д
Дом-и-сад
С
Стиль-и-уход-за-собой
П
Праздники-и-традиции
Т
Транспорт
П
Путешествия
С
Семейная-жизнь
Ф
Философия-и-религия
Б
Без категории
М
Мир-работы
Х
Хобби-и-рукоделие
И
Искусство-и-развлечения
В
Взаимоотношения
З
Здоровье
К
Кулинария-и-гостеприимство
Ф
Финансы-и-бизнес
П
Питомцы-и-животные
О
Образование
О
Образование-и-коммуникации
vladpin01
vladpin01
04.10.2020 09:25 •  Математика

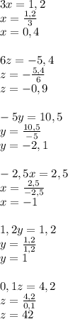
Решите уравнения. 3x=1,2; 6z=-5,4; -5y=10,5; -2,5x=2,5; 1,2y=1,2; 0,1z=4,2

👇
Ответ:
sharperdimas
sharperdimas
04.10.2020
3x=1,2 \\ x= \frac{1,2}{3} \\ x=0,4 \\ \\ 6z=-5,4 \\ z=- \frac{5,4}{6} \\ z=-0,9 \\ \\ -5y=10,5 \\ y= \frac{10,5}{-5} \\ y=-2,1 \\ \\ -2,5x=2,5 \\ x= \frac{2,5}{-2,5} \\ x=-1 \\ \\ 1,2y=1,2 \\ y= \frac{1,2}{1,2} \\ y=1 \\ \\ 0,1z=4,2 \\ z= \frac{4,2}{0,1} \\ z=42
4,6(25 оценок)
Открыть все ответы
Ответ:
Gendalf1875
Gendalf1875
04.10.2020

например египетские пирамиды

В настоящее время сохранились только египетские пирамиды. Все прочие чудеса были уничтожены пожарами, землетресениями, набегами иноземных захватчиков. Чтобы мир не лишался этих бесценных сокровищ, возникла идея объявить выдающиеся достопримечательности природы и культуры Всемирным наследием.   Всемирное природное наследие - это объекты природы, а объекты творения человеческих рук - это Всемирное культурное наследие. Эти две части неразрывно связаны между собой, круг символизирует природу, а квадрат в центре - творения человеческих рук. 

4,6(62 оценок)
Ответ:
mada4653
mada4653
04.10.2020

например египетские пирамиды

В настоящее время сохранились только египетские пирамиды. Все прочие чудеса были уничтожены пожарами, землетресениями, набегами иноземных захватчиков. Чтобы мир не лишался этих бесценных сокровищ, возникла идея объявить выдающиеся достопримечательности природы и культуры Всемирным наследием.   Всемирное природное наследие - это объекты природы, а объекты творения человеческих рук - это Всемирное культурное наследие. Эти две части неразрывно связаны между собой, круг символизирует природу, а квадрат в центре - творения человеческих рук. 

4,6(81 оценок)
Это интересно:
Новые ответы от MOGZ: Математика
logo
Вход Регистрация
Что ты хочешь узнать?
Спроси Mozg
Открыть лучший ответ