М
Молодежь
К
Компьютеры-и-электроника
Д
Дом-и-сад
С
Стиль-и-уход-за-собой
П
Праздники-и-традиции
Т
Транспорт
П
Путешествия
С
Семейная-жизнь
Ф
Философия-и-религия
Б
Без категории
М
Мир-работы
Х
Хобби-и-рукоделие
И
Искусство-и-развлечения
В
Взаимоотношения
З
Здоровье
К
Кулинария-и-гостеприимство
Ф
Финансы-и-бизнес
П
Питомцы-и-животные
О
Образование
О
Образование-и-коммуникации
anastasia4571
anastasia4571
09.06.2020 00:58 •  Математика

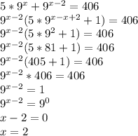
5*9^x+9^x-2=406 решить методом группировки

👇
Ответ:
jest2
jest2
09.06.2020
5*9^x+9^{x-2}=406\\9^{x-2}(5*9^{x-x+2}+1)=406\\9^{x-2}(5*9^2+1)=406\\9^{x-2}(5*81+1)=406\\9^{x-2}(405+1)=406\\9^{x-2}*406=406\\9^{x-2}=1\\9^{x-2}=9^0\\x-2=0\\x=2
4,4(98 оценок)
Открыть все ответы
Ответ:
dashulyamikhay
dashulyamikhay
09.06.2020
Stammte aus einer adeligen Familie, bekannten, legendären Quellen, die mit dem Jahre 1351. Seines Vorfahren väterlicherseits, Graf Pjotr Andrejewitsch Dicken, bekannt für seine Rolle in der Untersuchung über den Zarensohn gehüpft Alexej Petrowitsch, was geliefert wurde angeführt von der Geheimen Kanzlei. Merkmale Urenkel Peter Andrejewitsch, Ilja Andrejewitsch, sind in «Krieg und Frieden» добродушнейшему, непрактичному alten Grafen Rostow. Sohn des Elias Andrejewitsch, Nikolaj Iljitsch Tolstoi (1794-1837), war der Vater von Lew. Einige Eigenschaften des Charakters und Fakten Biografien er war wie ein Vater Николеньки «Kindheit» und «Jugend», und teilweise auf Nikolai Rostov in «Krieg und Frieden». Doch im realen Leben Nikolaj Iljitsch Unterschied sich von Nikolai Rostov nicht nur eine gute Ausbildung, sondern auch die überzeugungen, die nicht erlaubt, dienen unter Nikolaus. Teilnehmer des Wanderung der Russischen Armee gegen Napoleon, darunter mit «Kampf der Nationen» bei Leipzig und besuchte in der Gefangenschaft bei den Franzosen, nach Frieden in den Ruhestand im dienstgrad Oberstleutnant Павлоградского Husaren-REGIMENT. Kurz nach dem Rücktritt gezwungen wurde, gehen auf bürokratische Dienst, um nicht als Schuld Gefängnis wegen der Schulden des Vaters, der Kasaner Gouverneur, der unter die Konsequenz für das Missmanagement. Ein negatives Beispiel des Vaters geholfen zu erarbeiten, Nikolai Iljitsch Ihr Leben ideal ist eine private unabhängige Leben mit Familie und Freuden. Um Ihre verstimmten Dinge in Ordnung zu bringen, Nikolaj Iljitsch, wie Nikolai Rostov, heiratete schon nicht sehr junge Prinzessin aus der Art der Волконских; die Ehe war glücklich. Sie hatten vier Söhne: Nikolai, Sergej, Dmitri, der Löwe und die Tochter Maria.Происходил из дворянского рода, известного, по легендарным источникам, с 1351 года. Его предок по отцовской линии, граф Пётр Андреевич Толстой, известен своей ролью в следствии над царевичем Алексеем Петровичем, за что был поставлен во главе Тайной канцелярии. Черты правнука Петра Андреевича, Ильи Андреевича, даны в «Войне и мире» добродушнейшему, непрактичному старому графу Ростову. Сын Ильи Андреевича, Николай Ильич Толстой (1794—1837), был отцом Льва Николаевича. Некоторыми свойствами характера и фактами биографии он был похож на отца Николеньки в «Детстве» и «Отрочестве» и отчасти на Николая Ростова в «Войне и мире». Однако в реальной жизни Николай Ильич отличался от Николая Ростова не только хорошим образованием, но и убеждениями, которые не позволяли служить при Николае. Участник заграничного похода русской армии против Наполеона, в том числе участвовал в «битве народов» у Лейпцига и побывал в плену у французов, после заключения мира вышел в отставку в чине подполковника Павлоградского гусарского полка. Вскоре после отставки вынужден был пойти на чиновничью службу, чтобы не оказаться в долговой тюрьме из-за долгов отца, казанского губернатора, умершего под следствием за служебные злоупотребления. Отрицательный пример отца выработать Николаю Ильичу свой жизненный идеал — частная независимая жизнь с семейными радостями. Чтобы привести свои расстроенные дела в порядок, Николай Ильич, как и Николай Ростов, женился на уже не очень молодой княжне из рода Волконских; брак был счастливый. У них было четыре сына: Николай, Сергей, Дмитрий, Лев и дочь Мария.
4,5(25 оценок)
Ответ:
мαрия
мαрия
09.06.2020
Есть 2 варианта ответа.
1) Оставить ответ такой, какой получился. Ведь переменная х - это угол. А arc sin(1/3)  и есть угол.
Чтобы определить значение х в заданном промежутке, надо их приравнять.
1 ответ: х = πk:
πk = -π        k = -1        x = -π.
πk = 3π/2     k = 3/2      Целое значение k = 1.
Есть ещё 2 значения к между ними:
к =0    х = 0,
к = 1   х = π.
2 ответ:
x = arc sin(1/3) + 2πk:
Так как угол  arc sin(1/3) больше 0 и меньше π/2, то заданный промежуток можно выразить так:
левый предел:-π - 2πk < π/2, сократим на π:
-1 - 2k < 1/2,
2k > -1 - (1/2) ,
k > -3/4. То есть ближайшее целое значение к = 0,
правый предел: 3π/2 - 2πk < π/2,
3/2 - 2k < 1/2,
2k > (3/2) - (1/2) = 2/2 = 1,
k > 1/2.
Если принять значение k = 1, то тогда корень равен x = arc sin(1/3) + 2π, что больше 3π/2.
Значит, k = 0.
Корень равен: x = arc sin(1/3).

3 ответ:
x = π - arc sin(1/3) + 2πk (именно минус после π).
-π = arc sin(1/3) + 2πk,
-π - 2πk < π/2,
-1 - 2k < 1/2,
2k > -1 -(1/2),
2k >-3/2,
k > -3/4.
То есть ближайшее целое значение к = 0.
Корень равен: x = π - arc sin(1/3).

Итого 5 значений:
1) х = -π;
2) х = 0;
3) х = arc sin(1/3);
4) x = π - arc sin(1/3);
5) x = π.

2) Можно выразить в цифровом виде, найдя arc sin(1/3) в радианах: arc sin(1/3) =  0.339837 радиан.
В заданном промежутке 5 значений х:
1) х = - 3,141593;
2) х = 0;
3) х = 0,339837;
4) х = 2,801756;
5) х = 3,141593.
4,6(33 оценок)
Это интересно:
Новые ответы от MOGZ: Математика
Полный доступ к MOGZ
Живи умнее Безлимитный доступ к MOGZ Оформи подписку
logo
Вход Регистрация
Что ты хочешь узнать?
Спроси Mozg
Открыть лучший ответ