М
Молодежь
К
Компьютеры-и-электроника
Д
Дом-и-сад
С
Стиль-и-уход-за-собой
П
Праздники-и-традиции
Т
Транспорт
П
Путешествия
С
Семейная-жизнь
Ф
Философия-и-религия
Б
Без категории
М
Мир-работы
Х
Хобби-и-рукоделие
И
Искусство-и-развлечения
В
Взаимоотношения
З
Здоровье
К
Кулинария-и-гостеприимство
Ф
Финансы-и-бизнес
П
Питомцы-и-животные
О
Образование
О
Образование-и-коммуникации
Temka333333
Temka333333
19.01.2020 16:08 •  Математика

Реши уравнение:
5y+7y+21=153.
ответ: y =

👇
Ответ:
lyda777
lyda777
19.01.2020

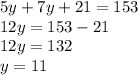
5y + 7y + 21 = 153 \\ 12y = 153 - 21 \\ 12y = 132 \\ y = 11

4,4(52 оценок)
Ответ:
05Дарья50
05Дарья50
19.01.2020

5y+7y+21=153.

12у=153-21

12у=132

у=11.

4,5(49 оценок)
Открыть все ответы
Ответ:
Dgkdtjclhvkyulvlu
Dgkdtjclhvkyulvlu
19.01.2020
Булки - 26 шт по 65 к                                                                                         батоны - 30 шт по 1 гр 20 к (1 гр 20 к=120 к)                                                        бублики - 300 шт по 80 к                                                                                     Какова стоимость всех изделий?                                                                         1) 26*65=1690(к) стоимость булок                                                                           2) 30*120=3600(к) стоимость батонов                                                                    3) 300*80=24000(к) стоимость бубликов                                                                4) 1690+3600+24000=29290 (к) стоимость всех изделий                                      Переводим копейки в гривны:  29290:100=292 гр 90 к                                          ответ: стоимость всех изделий привезённых в магазин 292 гр 90 к                                                                  
4,6(17 оценок)
Ответ:
акакий27
акакий27
19.01.2020
Булки - 26 шт по 65 к                                                                                         батоны - 30 шт по 1 гр 20 к (1 гр 20 к=120 к)                                                        бублики - 300 шт по 80 к                                                                                     Какова стоимость всех изделий?                                                                         1) 26*65=1690(к) стоимость булок                                                                           2) 30*120=3600(к) стоимость батонов                                                                    3) 300*80=24000(к) стоимость бубликов                                                                4) 1690+3600+24000=29290 (к) стоимость всех изделий                                      Переводим копейки в гривны:  29290:100=292 гр 90 к                                          ответ: стоимость всех изделий привезённых в магазин 292 гр 90 к                                                                  
4,4(57 оценок)
Это интересно:
Новые ответы от MOGZ: Математика
logo
Вход Регистрация
Что ты хочешь узнать?
Спроси Mozg
Открыть лучший ответ