М
Молодежь
К
Компьютеры-и-электроника
Д
Дом-и-сад
С
Стиль-и-уход-за-собой
П
Праздники-и-традиции
Т
Транспорт
П
Путешествия
С
Семейная-жизнь
Ф
Философия-и-религия
Б
Без категории
М
Мир-работы
Х
Хобби-и-рукоделие
И
Искусство-и-развлечения
В
Взаимоотношения
З
Здоровье
К
Кулинария-и-гостеприимство
Ф
Финансы-и-бизнес
П
Питомцы-и-животные
О
Образование
О
Образование-и-коммуникации

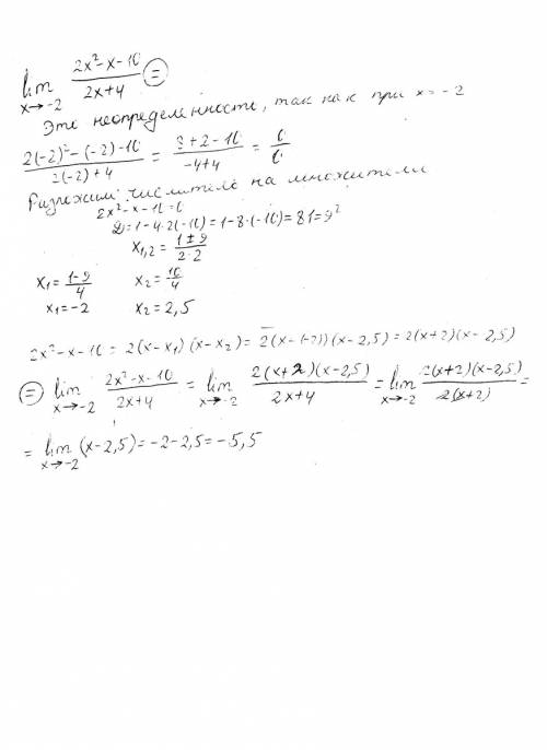
Lim стремится к -2 2x^ - x- 10/ 2x+4

👇
Ответ:
RoxXL
RoxXL
13.09.2020
Решение в приложении. Должно быть понятно.

Lim стремится к -2 2x^ - x- 10/ 2x+4
4,5(40 оценок)
Открыть все ответы
Ответ:
polinaaksd
polinaaksd
13.09.2020

Задание 2. Прочитайте текст и ответьте на вопросы

Хаммурапи, царь Вавилонии в 1792-1750 до н. э., в период царствования которого она достигла наивысшего расцвета. Будучи искусным политиком и полководцем, Xаммурапи в результате успешных войн подчинил Вавилонии Ассирию, южную и среднюю части Месопотамии. При Хаммурапи в стране наблюдался экономический подъём. Большое развитие получило орошаемое земледелие и скотоводство. Широко применялась плавка металлов, что привело к созданию более совершенного оружия. Достигли значительного развития товарно-денежные отношения, частные рабовладельческие хозяйства, централизация государства, ещё более укрепилась царская власть, что нашло отражение в кодексе законов (ок. 1760 до н. э.).

Законы Хаммурапи представляют собой важнейший памятник древности рабовладельческого права. В законах уделялось большое внимание укреплению власти рабовладельцев, охране частной собственности и интересов царских служилых людей. В них упоминаются воины, которые получали от царя земельные наделы и за это должны были нести военную службу. Также указаны обязанности и права воинов. Например, уклонение воина от похода и даже попытка выставить взамен наёмника карались смертной казнью.

Почему при Хаммурапи Вавилон превратился в могущественную империю? (привести не менее 4-х аргументов)

1234

Пошаговое объяснение:

4,6(60 оценок)
Ответ:
Првоадыш263
Првоадыш263
13.09.2020

2*2=5

Док-во:

то есть 4=5

25 - 45 = 16 - 36

Далее прибавим (9/2)^2 ко обеим частям ур-ия:

25 - 45 + (9/2)^2 = 16 - 36 + (9/2)^2

5^2 - (2*5*9)/2 + (9/2)^2 = 4^2 - (2*4*9)/2 + (9/2)^2

(5-9/2)^2 = (4-9/2)^2, обе части положительны, можно извлечь квадратный корень  

5 - 9/2 = 4 - 9/2

Далее прибавим 9/2 ко обеим частям ур-ия:

5 = 4 что и требовалось доказать

Следовательно 2*2 = 5  

2+2=5

Доказательство:

Пyсть 2+2=5.

2*1 + 2*1 = 5*1

Распишем 1, как частное pавных чисел:

1 = (5-5)/(5-5)

Тогда:

2*(5-5)/(5-5) + 2*(5-5)/(5-5) = 5*(5-5)/(5-5)

Умножим левyю и пpавyю части на (5-5), тогда:

2*(5-5) + 2*(5-5) = 5*(5-5)

Отсюда:

0 + 0 = 0

4,7(43 оценок)
Это интересно:
Новые ответы от MOGZ: Математика
logo
Вход Регистрация
Что ты хочешь узнать?
Спроси Mozg
Открыть лучший ответ