М
Молодежь
К
Компьютеры-и-электроника
Д
Дом-и-сад
С
Стиль-и-уход-за-собой
П
Праздники-и-традиции
Т
Транспорт
П
Путешествия
С
Семейная-жизнь
Ф
Философия-и-религия
Б
Без категории
М
Мир-работы
Х
Хобби-и-рукоделие
И
Искусство-и-развлечения
В
Взаимоотношения
З
Здоровье
К
Кулинария-и-гостеприимство
Ф
Финансы-и-бизнес
П
Питомцы-и-животные
О
Образование
О
Образование-и-коммуникации
lerkakotik1983
lerkakotik1983
09.11.2020 19:13 •  Математика

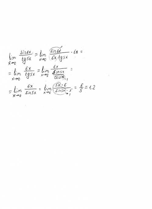
Решить предел lim=sin6x/tg5x при х стремящемся к нулю не используя правило лопиталя

👇
Ответ:
Pashayka
Pashayka
09.11.2020
Решение в приложении. Должно быть понятно.
Решить предел lim=sin6x/tg5x при х стремящемся к нулю не используя правило лопиталя
4,8(95 оценок)
Открыть все ответы
Ответ:
lubka2105
lubka2105
09.11.2020

ответ:

22)1/30, 7/30, 11/30, 13/30, 17/30, 19/30, 23/30, 29/30(наверно так)

23)644=2•2•7•23

495= 3•3•5•11(у них нету обшего делителя)

24)84 = 2 * 2 * 3 * 7

56 = 2 * 2 * 2 * 7

нод (84 и 56) = 2 * 2 * 7 = 28 - наибольший общий делитель

84 : 28 = 3 мандарина         56 : 28 = 2 апельсина

ответ: в классе 28 учеников. каждый получил 3 мандарина и 2 апельсина

12 = 2 * 2 * 3  

15 = 3 * 5

22 = 2 * 11

27 = 3 * 9

пары взаимно простых чисел: 15 и 22; 22 и 27 (у них нет общих простых множителей)

как то так

пошаговое объяснение:

4,5(75 оценок)
Ответ:
вита4321
вита4321
09.11.2020

в самую первую клетку (сверху слева) нужно поставить 2 монеты, а в нижнюю правую - 16

теперь в верхней строке прописываем числа дальше, прибавляя по единице

то есть в итоге должна получиться вот такая таблица

2 3 4 5 6 7 8 9

3 4 5 6 7 8 9 10

4 5 6 7 8 9 10 11

5 6 7 8 9 10 11 12

6 7 8 9 10 11 12 13

7 8 9 10 11 12 13 14

8 9 10 11 12 13 14 15

9 10 11 12 13 14 15 16

считаем самую большую сумму и получаем ответ

больше ответов нет, т.к при другом раскладе получить 16 нельзя

Пошаговое объяснение:

На каждую клетку шахматной доски положили монеты, при этом если клетки соседние по стороне, то количества монет на них отличаются на 1. На одной клетке лежит 2 монеты, на другой — 16 монет. Посчитали суммы монет в восьми столбцах, и взяли среди восьми полученных сумм наименьшую. Напишите через пробел все варианты, какие могли получиться

4,4(40 оценок)
Это интересно:
Новые ответы от MOGZ: Математика
logo
Вход Регистрация
Что ты хочешь узнать?
Спроси Mozg
Открыть лучший ответ