Вход
Регистрация
Спроси Mozg AI
М
Молодежь
К
Компьютеры-и-электроника
Д
Дом-и-сад
С
Стиль-и-уход-за-собой
П
Праздники-и-традиции
Т
Транспорт
П
Путешествия
С
Семейная-жизнь
Ф
Философия-и-религия
Б
Без категории
М
Мир-работы
Х
Хобби-и-рукоделие
И
Искусство-и-развлечения
В
Взаимоотношения
З
Здоровье
К
Кулинария-и-гостеприимство
Ф
Финансы-и-бизнес
П
Питомцы-и-животные
О
Образование
О
Образование-и-коммуникации
.....больше.....
..меньше..
DaryaKareva
29.12.2020 01:51 •
Математика
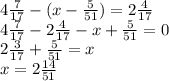
Решите уравнение 4 целых 7/17-(х-5/51)=2целых 4/17
👇
Увидеть ответ
Ответ:
katcornewa
29.12.2020
4,4
(8 оценок)
Открыть все ответы
Ответ:
Gdyfyttyffhfry
29.12.2020
2(х-1)-3(х+2)<6(1+х) 2х-2-3х-6<6+6х -2-6-6<6х-2х+3х -14< 7х -14:7<х -2<х.
4,4
(36 оценок)
Ответ:
2703200096358246
29.12.2020
1) 2х-2-3х-6<6+х
-х-8 =0 6+х=0
-х=8 х=-6
х=-8 -8 < -6 верно
2)7у+21-2у-4>10у+2
7у+21-2у-4=0 10у+2=0
5у+17=0 10у=-2
5у=-17 у=-0,2
у=-3.4 -3.4>-0.2 неверно
3) 18+30у-2-2у<20+15у
16+28у <15у-20
16+28у=0 15у-20=0
28у=-16 15у=20
у=-0,57 у=1,3 -0,57<1.3 верно
4)12у-4-3у+3 > 6+2у
9у-1=0 6+2у=0
9у=1 2у=-6
у=0,1 у=-3 0,1>-3 верно
4,4
(83 оценок)
Это интересно:
С
Стиль-и-уход-за-собой
16.06.2021
Как нарисовать дизайн ногтей Splatter...
К
Компьютеры-и-электроника
29.08.2022
Как быстро и легко изменить язык Google...
К
Компьютеры-и-электроника
05.08.2021
Секреты успешной презентации: Как создать эффективную презентацию в PowerPoint?...
С
Стиль-и-уход-за-собой
13.08.2021
Секреты получения и сохранения красивого загара в домашних условиях...
Д
Дом-и-сад
02.09.2022
Как посадить дерево: советы от опытных садоводов...
О
Образование-и-коммуникации
15.03.2022
Квантовая физика: с чего начать, чтобы понять ее?...
З
Здоровье
20.08.2020
Как безболезненно сесть в позу лотоса: советы йогов и научное объяснение...
К
Компьютеры-и-электроника
20.12.2022
Как рассчитать наклон линии линейной регрессии в Excel: шаг за шагом...
Д
Дом-и-сад
16.09.2021
Как очистить потолок от копоти: лучшие методы и рекомендации...
К
Компьютеры-и-электроника
20.03.2023
Как легко и быстро писать текстовые сообщения через Gmail...
Новые ответы от MOGZ: Математика
Selch
16.05.2021
Если а б, то какой знак нужно поставить:4-а 5-б?...
wolf135791
14.10.2022
вариант, по действиям) 2 и 3задания...
aalenka471
22.12.2020
ABCA1B1C1- ПРАВИЛЬНЫ ТРОХВУГОЛЬНАЯ ПРИЗМА, УСЕ КАНТЫ ЯКОЙ РОУНЫЯ 8 СМ. ПУНКТЫ K И P СЯРЭДЗИНЫ КАНТАУ A1C1 АДПАВЕДНА. ВЫЛИЧЫЦЕ ПЕРЫМЕТР AKPB ...
tach11
15.01.2021
По математике Ручка дороже карандаша на 20% тетрадь дороже ручки на 25% тетрадь стоит 30руб.Найдите стоимость карандаша...
asvpdsh
27.03.2020
А) Стороны прямоугольника равны 3 см и 20 см. Найдите ширину прямоугольника равна Великого данному если его длина равна 15 см б)В каждом из этих прямугольников провели диагональ...
Elyzaveta2004
20.10.2022
Если стоимость товара повысить на 20% затем полученную цену понизить на 10% на сколько процентов и Как изменится первоначальная цена товара...
АНОНЯ1478
22.01.2020
Мама ,папа и дети отправились на выставку. За билеты семья заплатила 290тен .взрослый билет стоит 85тен ,детский 40тен.сколько детей ходила на выставку?...
диана2458
20.11.2022
Задачка на логику про футбол...
upsbeats
20.02.2021
Как найти дополнительный множитель к числу? (дроби,если что)...
Dovids
07.11.2021
3. а) Қысқаша жазылуы және сызбасы бойынша есеп құрастыр. — 5 дана 9 – ? дана, 2 есе артық ? ә) Есептің сұрағын екі амалмен шығатындай өзгерт. — 5 дана 8 – ? дана, 2 есе артық...
MOGZ ответил
5 761 000:700=кокой ответ в столбик...
ТЕКСТ ЗАДАНИЯ Сөздер мен сөз тіркестерінің көмегімен Тұңғыш Елбасы күнін атап...
Определите скорость исз если он движется по круговой орбите на высоте 150 км...
Задача №7 При апробации клевера лугового отобран сноп из 300 стеблей, из которых...
умоляю надо прям аавжазмжвжк...
Які з наведених речовин можуть реагувати з пропаном : а) хлороводень б) натрій...
Доведіть , що з появою міст у середньовічному третьому стані відбулися суттєві...
Берілген мақалдардың мағынасын ашамыз. 1. Кітап оқудан тыйылған адам ойлаудан...
1.Лишайники – это организмы: А) паразиты Б) хищники В) симбионты Г) сапротрофы...
Сделайте фонетический разбор по каз.яз. слов: аспан, дәстүр , қала , мұғалім....
Полный доступ к MOGZ
Живи умнее Безлимитный доступ к MOGZ
Оформи подписку
О НАС
О нас
Блог
Условия пользования
Авторское право
Политика конфиденциальности
Предпочтения cookie-файлов
ПОМОЩЬ
Зарегистрируйся
Центр помощи
Центр безопасности
App
Вход
Регистрация
Что ты хочешь узнать?
Спроси Mozg
Открыть лучший ответ