Вход
Регистрация
Спроси Mozg AI
М
Молодежь
К
Компьютеры-и-электроника
Д
Дом-и-сад
С
Стиль-и-уход-за-собой
П
Праздники-и-традиции
Т
Транспорт
П
Путешествия
С
Семейная-жизнь
Ф
Философия-и-религия
Б
Без категории
М
Мир-работы
Х
Хобби-и-рукоделие
И
Искусство-и-развлечения
В
Взаимоотношения
З
Здоровье
К
Кулинария-и-гостеприимство
Ф
Финансы-и-бизнес
П
Питомцы-и-животные
О
Образование
О
Образование-и-коммуникации
.....больше.....
..меньше..
alex2002fedorov
24.06.2020 07:20 •
Математика
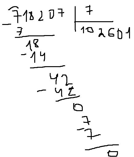
Как решить в столбик пример 718 207 раздилить на 7
👇
Увидеть ответ
Ответ:
казиба
24.06.2020
12601 пиши в ответе
4,6
(38 оценок)
Ответ:
Саня200763
24.06.2020
Смотри в приложении ниже.
4,8
(95 оценок)
Открыть все ответы
Ответ:
Gbdngggvg
24.06.2020
1) 12 * 2 = 24 колеса - если бы все велосипеды были двухколёсные;
2) 27 - 24 = 3 колеса - "лишние", значит, трёхколёсных велосипедов было 3;
3) 12 - 3 = 9 - двухколёсные велосипеды.
Путь х - трёхколёсные велосипеды, тогда (12 - х) - двухколёсные. У трёхколёсных 3х колёс, у двухколёсных 2 * (12 - х) колёс. Всех колёс 27.
Уравнение: 3х + 2 * (12 - х) = 27
3х + 24 - 2х = 27
3х - 2х = 27 - 24
х = 3 - трёхколёсные велосипеды
12 - 3 = 9 - двухколёсные велосипеды
ответ: 3 трёхколёсных велосипеда.
4,4
(58 оценок)
Ответ:
IrishkaKoteika2689
24.06.2020
1) 12 * 2 = 24 колеса - если бы все велосипеды были двухколёсные;
2) 27 - 24 = 3 колеса - "лишние", значит, трёхколёсных велосипедов было 3;
3) 12 - 3 = 9 - двухколёсные велосипеды.
Путь х - трёхколёсные велосипеды, тогда (12 - х) - двухколёсные. У трёхколёсных 3х колёс, у двухколёсных 2 * (12 - х) колёс. Всех колёс 27.
Уравнение: 3х + 2 * (12 - х) = 27
3х + 24 - 2х = 27
3х - 2х = 27 - 24
х = 3 - трёхколёсные велосипеды
12 - 3 = 9 - двухколёсные велосипеды
ответ: 3 трёхколёсных велосипеда.
4,4
(28 оценок)
Это интересно:
К
Компьютеры-и-электроника
11.09.2020
Как сделать GIF анимацию из видео в Photoshop CS5: шаг за шагом...
К
Компьютеры-и-электроника
16.04.2022
Как играть онлайн в Words with Friends...
К
Кулинария-и-гостеприимство
09.04.2020
Сэндвич с беконом: легкий рецепт на каждый день...
Д
Дом-и-сад
09.06.2020
Как отмыть губку: простые и эффективные способы...
К
Компьютеры-и-электроника
08.05.2023
Как убить Херобрина в Майнкрафт: практические советы от игроков...
К
Компьютеры-и-электроника
09.12.2020
Как сбросить иконку голосовой почты на телефоне Android...
П
Питомцы-и-животные
13.06.2020
Как сделать когтеточку для котенка: простые идеи, которые помогут вам сэкономить деньги и сделать вашего котенка счастливым...
С
Стиль-и-уход-за-собой
11.10.2021
Как сделать татуировку с помощью маркера: безболезненный способ...
К
Компьютеры-и-электроника
11.10.2021
Как избавиться от отображения в списке «Рекомендуемые друзья» на Facebook?...
М
Мир-работы
14.04.2021
5 советов, как стать хорошей няней для детей...
Новые ответы от MOGZ: Математика
захар186
09.02.2020
Яка пряма є перпендикулярною до прямої АВ?...
Ariunkh
04.02.2021
. На координатній прямій позначте точку К( – 2). Укажіть на цій прямій точки, віддалені від точки К на 5 одиниць та визначте їх координати...
KingTheCat
30.04.2021
3 м 56см+4дм7мм-31см5мм скільки мм...
matsakov99
10.10.2021
1256. Дәптерге онцктесін белгілеңдер. Ұзындығы дәптердің, 4 торкөзінің ұзындығына тең АО кесіндісін салыңдар. Циркульді пайдаланып, центрі О нүктесі болатын радиусы...
Nastyaaaaaa34
12.07.2021
85/91×5 6/17÷(5/7÷8) (15÷5/15)÷(3 3/8×4/27) 15×(8/45÷16)× 24 1/2 ещё...
foma89
14.02.2021
При записі координат точки на першому місці записують ... * Одну точку; будь яку з координат; абсцису точки ?...
Sorokun
30.12.2021
Как рішить ускладнені рівнянняX+36=18•5 і 82-y=70÷5...
cherkashina711
05.06.2021
Площа квадрата дорівнює 32см2.Знайти його периметр...
derakA
08.07.2022
У выражение: -28 : (- 1⅓)²...
Лораншу
19.02.2020
За пять часов на мельнице обмололи 60 тонн пшеницы сколько тонн пшеницы можно обмолоть за двенадцать часов работая с тойже производительности...
MOGZ ответил
Найти молярную массу: ch,co,h2s,co2,na...
f(x)=x+8 и g(x)=6−x2. найдите значение f(g(3)+7)....
1. определите по рис. 13 и напишите, чем сходни периная си стема...
Решите по : 1.14 тело, падает свободно в последнюю секунду своего...
Решите уравнение: 4x = 5/7. - первый пример 1 4/9 x = 2.4 можно...
Напишите сочинение по этому тексту точнее на тему я не могу...
Как на этом рисунке найти разницу в высоте? объясните...
Опишите внешность телеведущего так,чтобы в классе его легко...
напишите сочинение (тема капитанская дочка) по вопросам. 1отношение...
Напишите предложения в отрицательной форме и переведите их на...
Полный доступ к MOGZ
Живи умнее Безлимитный доступ к MOGZ
Оформи подписку
О НАС
О нас
Блог
Условия пользования
Авторское право
Политика конфиденциальности
Предпочтения cookie-файлов
ПОМОЩЬ
Зарегистрируйся
Центр помощи
Центр безопасности
App
Вход
Регистрация
Что ты хочешь узнать?
Спроси Mozg
Открыть лучший ответ