М
Молодежь
К
Компьютеры-и-электроника
Д
Дом-и-сад
С
Стиль-и-уход-за-собой
П
Праздники-и-традиции
Т
Транспорт
П
Путешествия
С
Семейная-жизнь
Ф
Философия-и-религия
Б
Без категории
М
Мир-работы
Х
Хобби-и-рукоделие
И
Искусство-и-развлечения
В
Взаимоотношения
З
Здоровье
К
Кулинария-и-гостеприимство
Ф
Финансы-и-бизнес
П
Питомцы-и-животные
О
Образование
О
Образование-и-коммуникации
Horvatskiy
Horvatskiy
11.11.2020 02:02 •  Математика

Какое из перечисленных функции является обратно для функции y=log4(x+5)-3

👇
Ответ:
AmiKot1105
AmiKot1105
11.11.2020
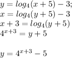
y = log_4(x+5)-3 ; \\
x = log_4(y+5)-3 \\
x + 3 = log_4(y+5) \\
4^{x+3}=y+5 \\
\\
y = 4^{x+3} - 5
4,5(26 оценок)
Открыть все ответы
Ответ:
ARproVL
ARproVL
11.11.2020
1)  3x-15=x+3               2)  7-3x=x+11                    3)  2(x+3)=x+13
     3x-x=15+3                    7-11=x+3x                        2x+6=x+13
     2x=18                          -4=4x                                2x-x=13-6
     x=18/2                          -1=x                                x=7
     x=9

4)  4(5-x)=3x-1              5)  3(x-2)=x+4                   6)   5(x-1)=4x+3
     20-4x=3x-1                   3x-6=x+4                           5x-5=4x+3
     -3x-4x=-1-20                 3x-x=4+6                            5x-4x=5+3
     7x=21                           2x=10                                x=8
     x=21/7                          x=5
     x=3
4,8(51 оценок)
Ответ:
яна1762
яна1762
11.11.2020

Чтобы решить уравнение, содержащее переменную под знаком модуля, надо освободиться от знака модуля, используя его определение.

Пример 1: begin mathsize 12px style open vertical bar х close vertical bar equals 5 end style, так как значение х может быть как равным 5, так и -5, то корнями являются ± 5

Пример 2: Найдем корни следующего уравнения: begin mathsize 12px style open vertical bar 5 х minus 12 close vertical bar equals 36 end style

Решение 1

5х-12 = 36

5х =36+12

5х=48

х=9,6

Решение 2

5х-12 = - 36

5х= - 36 +12

5х = -24

х = - 4,8

Проверка 1

begin mathsize 12px style open vertical bar 5 asterisk times 9 comma 6 minus 12 close vertical bar equals open vertical bar 48 minus 12 close vertical bar equals open vertical bar 36 close vertical bar equals 36 end style

Проверка 2

begin mathsize 12px style open vertical bar 5 asterisk times open parentheses negative 4 comma 8 close parentheses minus 12 close vertical bar equals open vertical bar negative 24 minus 12 close vertical bar equals open vertical bar negative 36 close vertical bar equals 36 end style

Пример 3: Найдем корни следующего уравнения: begin mathsize 12px style open vertical bar 4 х plus 52 close vertical bar equals negative 65 end style

Решение: так как модуль любого выражения есть число положительное, а в данном выражении оно равно отрицательному чслу, то уравнение не имеет решения

4,8(18 оценок)
Это интересно:
Новые ответы от MOGZ: Математика

MOGZ ответил

Полный доступ к MOGZ
Живи умнее Безлимитный доступ к MOGZ Оформи подписку
logo
Вход Регистрация
Что ты хочешь узнать?
Спроси Mozg
Открыть лучший ответ