М
Молодежь
К
Компьютеры-и-электроника
Д
Дом-и-сад
С
Стиль-и-уход-за-собой
П
Праздники-и-традиции
Т
Транспорт
П
Путешествия
С
Семейная-жизнь
Ф
Философия-и-религия
Б
Без категории
М
Мир-работы
Х
Хобби-и-рукоделие
И
Искусство-и-развлечения
В
Взаимоотношения
З
Здоровье
К
Кулинария-и-гостеприимство
Ф
Финансы-и-бизнес
П
Питомцы-и-животные
О
Образование
О
Образование-и-коммуникации
mама
mама
17.01.2022 14:46 •  Математика

Предел х-> 0 дробь в числителе 1-корень квадратный из 2х+1 в знаменателе х

👇
Ответ:
AelitaFox
AelitaFox
17.01.2022

\lim_{x \to \ 0}\frac{1-\sqrt{2x+1}}{x}

 

Применим метод замены переменной: у=2х+1                 (у-1)/2=0

                                                                  2х=у-1                  у-1=0

                                                                  х=(у-1)/2               у=1

 

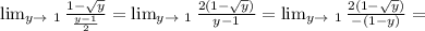
\lim_{y\to \ 1} \frac{1-\sqrt{y}}{\frac{y-1}{2}}=\lim_{y\to \ 1} \frac{2(1-\sqrt{y})}{y-1}=\lim_{y\to \ 1} \frac{2(1-\sqrt{y})}{-(1-y)}=

 

=\lim_{y\to \ 1} \frac{-2(1-\sqrt{y})}{(1-\sqrt{y})(1+\sqrt{y})}=\lim_{y\to \ 1} \frac{-2}{1+\sqrt{y}}=\frac{-2}{1+\sqrt{1}}=\frac{-2}{2}=-1

 

4,8(62 оценок)
Открыть все ответы
Ответ:
qofepvcqj
qofepvcqj
17.01.2022
Пусть х метров было в рулоне.
1)На пошив пододеяльника ушло 0,4 рулона без 6 метров: 0,4х-6

х-(0,4х-6)=х-0,4х+6=0,6х+6 метров рулона осталось.

2) На пошив простыни ушло без 4 метров 0,6 от остатка рулона: (0,6х+6)*0,6-4=0,36х+3,6-4=0,36х-0,4 

Новый остаток рулона составил: (0,6х+6)- (0,36х-0,4) =0,6х+6 -0,36х+0,4=0,24х+6,4

3) На наволочки ушло 0,75 без 3 метров от нового остатка: (0,24х+6,4)*0,75-3=0,18х+4,8-3=0,18х+1,8

Составим уравнение:  
х - (0,4х-6)-(0,36х-0,4)-( 0,18х+1,8)=10
х-0,4х+6-0,36х+0,4-0,18х-1,8=10
0,06х+4,6=10
0,06х=10-4,6
0,06х=5,4
х=5,4:0,06
х=90 метров ткани в рулоне
ответ: в рулоне было 90 метров ткани.

Проверим: 90*0,4-6=30 метра (пододеяльник)
                 (90-30)*0,6-4=32  метров (простынь)
                 (90-(30+32)*0,75-3=18 метров (наволочки)
                  90-30-32-18=10 метров (остаток ткани)
4,8(50 оценок)
Ответ:
Mishcka10200
Mishcka10200
17.01.2022
ЕдаHi- KakProstoКакова роль сердца в кровообращенииСердце человека является относительно небольшим органом, оно весит чуть больше 300 г, его размер немного больше кисти, сжатой в кулак. Сердце выполняет функцию перекачивание крови, поэтому его часто называют насосом.Статьи по теме:Какова роль сердца в кровообращенииГде находится сердцеКак лечить нарушение мозгового кровообращенияКак проверить работу сердцаКак оценивать ЕГЭ по обществознаниюВопрос «как вырости?» - 5 ответовФункция сердца в системе кровообращенияСердце является полым органом, его стенки, в основном, состоят из мышечной ткани (миокарда). В сердце имеются два предсердия и два желудочка. Кровь из предсердий в желудочки направляют специальные клапаны, они также определяют дальнейшее ее продвижение в легочную артерию и аорту. Работа сердца заключается в перекачивании крови. Кровь, обогащенная кислородом, поступает в аорту из левого желудочка, а затем по артериям во все ткани и органы, снабжая их питательными веществами и кислородом. При этом венозная кровь, насыщенная углекислотой, поступает в правое предсердие, из него - в правый желудочек, а затем в легкие. В легких она освобождается от углекислоты, насыщается кислородом, а затем возвращается в левые камеры сердца. 

Путь крови, проходящий из правого желудочка в легкие, а затем из легких в левое предсердие называется малым кругом кровообращения, а длинный путь - из левого желудочка в ткани и органы к правому предсердию называется большим кругом кровообращения. Оба круга движения крови являются связанной воедино системой. За сутки сердце сокращается около 100 тыс. раз и перекачивает при этом около 14 тонн крови. За 70 лет этот орган перекачивает около 360 тыс. тонн крови, выполняя около 2,5 млрд сокращений. Левый желудочек сердца выполняет работу в условиях более высокого давления, поэтому его стенка более мощная, чем стенка правого.
4,8(91 оценок)
Это интересно:
Новые ответы от MOGZ: Математика
logo
Вход Регистрация
Что ты хочешь узнать?
Спроси Mozg
Открыть лучший ответ