М
Молодежь
К
Компьютеры-и-электроника
Д
Дом-и-сад
С
Стиль-и-уход-за-собой
П
Праздники-и-традиции
Т
Транспорт
П
Путешествия
С
Семейная-жизнь
Ф
Философия-и-религия
Б
Без категории
М
Мир-работы
Х
Хобби-и-рукоделие
И
Искусство-и-развлечения
В
Взаимоотношения
З
Здоровье
К
Кулинария-и-гостеприимство
Ф
Финансы-и-бизнес
П
Питомцы-и-животные
О
Образование
О
Образование-и-коммуникации
2017minikot
2017minikot
21.12.2022 14:48 •  Математика

Найти площадь треугольника со сторонами 15 см,26 см,37 см

👇
Ответ:
26Violetta26
26Violetta26
21.12.2022
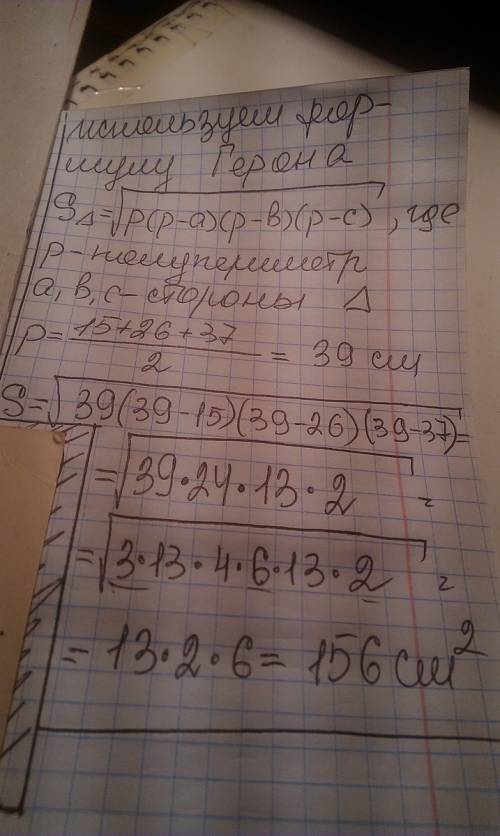
Решение смотри на фотографии
Найти площадь треугольника со сторонами 15 см,26 см,37 см
4,4(65 оценок)
Ответ:
atexpro444ggvg
atexpro444ggvg
21.12.2022
Полупериметр тр-ка = (15+26+37)/2=39см По формуле Герона  S=кор из р(р-а)(р-в)(р-с)=39*24*13*2=156см2
4,4(99 оценок)
Открыть все ответы
Ответ:
elinashovhalova
elinashovhalova
21.12.2022
Раньше степи населяли многомиллионные стада копытных. Стадность в сочетании с кочевым образом жизни обеспечивали сохранность степного травостоя, и растения, за счет развитой подземной части, могли быстро восстановиться. 
Животные степи при к жизни в условиях открытой местности, засушливого климата, периодов бескормицы. Сайгаки к быстрому бегу, и это их от преследования волков и позволяет пробегать большие расстояния в поисках воды и кормов. Многие животные имеют окраску под цвет сухой травы(степной жаворонок, сурки, суслики). Это им спрятаться от врагов, а также незаметно подкрадываться к добыче. Некоторые из них (сурки, суслики, хомяки, полевые мыши) роют норы, в которых они размножаются от врагов, укрываются от жары и холода, запасают корм. Степные птицы из-за отсутствия деревьев устраивают гнёзда на земле (жаворонки, дрофы, перепела, степные орлы). Некоторые животные на период зимних холодов, а также летней бескормицы впадают в спячку (суслики, сурки, черепахи и ящерицы).
4,6(8 оценок)
Ответ:
polinasparrow
polinasparrow
21.12.2022

очевидец рассказывал о случае, который произошел с ним в 1977 г. во время схода снежной лавины.

он спокойно возвращался с очередного ледника в долину, где располагался базовый лагерь. ничто не предвещало опасности. привычная торжественная тишина заснеженных горных вершин окружала человека. он уже почти спустился в долину и вошел в сосновый лес, будто усыпанный неведомым великаном огромными каменными валунами, как вдруг до его слуха донесся далекий, странный, быстро нарастающий гул.

этот человек хорошо знал местность, знал все лавино- и селеопасные участки и сразу же понял, что с гор идет лавина. и действительно, когда он огляделся, то увидел, что на фоне одной из горных вершин образовалось большое белое облако, которое, двигаясь прямо на него, увеличивалось на глазах. первое, что он почувствовал, по его словам, — парализующий и леденящий душу страх. но это состояние длилось недолго. он молниеносно вспомнил то, чему его учили в институте: как нужно вести себя в подобных чрезвычайных ситуациях. он мобилизовал волю и силы, быстро оценил местность и свои возможности на спасение, затем сбросил с себя рюкзак и снаряжение, спрятался за ближайший самый большой валун, тесно прижавшись к нему, потому что лавина двигалась с такой скоростью, что убегать было бесполезно: первая же ударная волна сбила бы его с ног и раздавила о дерево и камни, тем более что снег нес с собой обломки скал. таким образом, тот валун, за которым укрылся человек, послужил естественным барьером, смягчившим удар лавины. когда самый сильный поток прошел, наш ученый позволил себе «оторваться» от своего камня и «поплыл» в снежной лавине, как по реке, постепенно выбираясь на поверхность, чтобы не задохнуться в толще снега. все это время он сохранял хладнокровие и был начеку, стремясь избегать деревьев и валунов. в известной степени, можно сказать, что он «родился в рубашке», потому что редко кто, попав в лавину или селевой поток в горах, остается целым и невредимым. но то, что ему «повезло», — во многом заслуга самого человека, потому что он оказался психологически сильным и тренированным. 

4,7(49 оценок)
Новые ответы от MOGZ: Математика
logo
Вход Регистрация
Что ты хочешь узнать?
Спроси Mozg
Открыть лучший ответ